nomadreid's latest activity
-
nomadreid replied to the thread Undergrad 2 interpretations of bra-ket expression: equal, & isomorphic, but....Thanks for the replies, Gavran and Wrobel. First, Gavran. That is good to hear. Could you give me an example of each, and why? (That... -
nomadreid reacted to wrobel's post in the thread Undergrad 2 interpretations of bra-ket expression: equal, & isomorphic, but... with
Like.
On the other hand consider a real Hilbert space ##F## of sequences ##x=(x_1,x_2,\ldots)## with inner product $$(x,y)_F=\sum_{k=1}^\infty... -
nomadreid reacted to wrobel's post in the thread Undergrad 2 interpretations of bra-ket expression: equal, & isomorphic, but... with
Like.
Hope you are speaking about Hilbert spaces. If it is so you should separate two cases: a Hilbert space over ##\mathbb{R}## and over... -
nomadreid reacted to Gavran's post in the thread Undergrad 2 interpretations of bra-ket expression: equal, & isomorphic, but... with
Like.
There is a difference. The difference lies not only in the fact that an inner product is bilinear and a dual space operation is linear... -
nomadreid replied to the thread Undergrad 2 interpretations of bra-ket expression: equal, & isomorphic, but....Thanks for answering, Hill, although it appears that either I did not state the question clearly enough, or you read the question... -
nomadreid posted the thread Undergrad 2 interpretations of bra-ket expression: equal, & isomorphic, but... in Linear and Abstract Algebra.Starting with a vector space V equipped with an inner product (. , .), and its dual space V*, one can look at the expression <a|b> in... -
nomadreid replied to the thread Undergrad Erroneously finding discrepancy in transpose rule.Thanks very much, Gavron! I see my error now. I had not rid myself of my prejudice that isomorphism preserved all structures; I... -
nomadreid reacted to Gavran's post in the thread Undergrad Erroneously finding discrepancy in transpose rule with
Like.
The transposition of a complex number is the same complex number, and the conjugation of a real matrix is the same real matrix. It is... -
nomadreid replied to the thread Undergrad Erroneously finding discrepancy in transpose rule.Thanks, Gavran, but apparently I did not express myself very well. Let me try again. First, if I understand your post correctly (but... -
nomadreid reacted to Gavran's post in the thread Undergrad Erroneously finding discrepancy in transpose rule with
Like.
The conjugation of a complex number is also a complex number. So the conjugation of a complex number twice corresponds to the... -
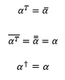
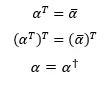
nomadreid replied to the thread Undergrad Erroneously finding discrepancy in transpose rule.So, for example, if we take the Hermitian adjoint (the composition of the complex conjugate and the transpose), I would deduce from your... -
nomadreid replied to the thread Undergrad Erroneously finding discrepancy in transpose rule.Thanks, Gavron. These simple examples are very nice. -
nomadreid reacted to Gavran's post in the thread Undergrad Erroneously finding discrepancy in transpose rule with
Like.
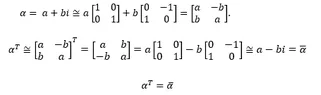
There is an isomorphism between the field of complex numbers and a specific set of 2x2 real matrices where a complex number ## a+bi ##... -
nomadreid replied to the thread Undergrad Erroneously finding discrepancy in transpose rule.Again, thanks, martinbn. Indeed. I think you mean I oversimplified or neglected the structures that accompany each. -
nomadreid reacted to martinbn's post in the thread Undergrad Erroneously finding discrepancy in transpose rule with
Like.
But the usual identification of the complex numbers and the real plane sends ##a+bi## to ##(a,b)##. You are looking at something different.


