palaphys's latest activity
-
palaphys replied to the thread Force between two halves of a current carrying hollow cylinder.also, I think I have found the answer to my question. let ##B_2## be the magnetic field due to the rest of the cylinder and ##B_1## be... -
palaphys replied to the thread Force between two halves of a current carrying hollow cylinder.https://en.wikipedia.org/wiki/Magnetic_pressure -
palaphys posted the thread Force between two halves of a current carrying hollow cylinder in Introductory Physics Homework Help.Here is my solution: Consider a thin cylindrical shell of radius ##R## carrying total current ##I##, cut lengthwise into two identical... -
palaphys replied to the thread Magnetic field due to a coil wound on a hemsiphere.Agreed. This is simpler. Thanks -
palaphys reacted to kuruman's post in the thread Magnetic field due to a coil wound on a hemsiphere with
Like.
Your ideas are correct and you can take it from there. However, since you asked, you can do it more directly by noting that there are... -
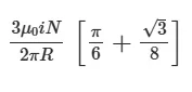
palaphys replied to the thread Magnetic field due to a coil wound on a hemsiphere.I think I will do it this way- for the entire wire covering the arc, the lengthwise turn density is N/(arc length). here arc length... -
palaphys replied to the thread Falling capacitor connected to constant voltage.I'm not able to edit it right now, but thanks for pointing it out. how is that possible? even their solution has included the effect of... -
palaphys posted the thread Falling capacitor connected to constant voltage in Introductory Physics Homework Help.I have tried to proceed with two methods, which agree with each other i) Energy analysis If we use work energy theorem, ## \sum W =... -
palaphys replied to the thread Magnetic field due to a coil wound on a hemsiphere.yes It must be proportional to some quantity. I'm trying to consider its relation with an angle theta, i.e polar angle -
palaphys posted the thread Magnetic field due to a coil wound on a hemsiphere in Introductory Physics Homework Help.this is the figure provided. My approach was to consider the field due to an elemental ring-shape conductor, using the standard formula... -
palaphys replied to the thread Confusion on sign convention in X-ray problems.I think I am satisfied with my solution, so I will continue using this kind of approach for such questions.. -
palaphys replied to the thread Confusion on sign convention in X-ray problems.I agree that state 1 is the intended state. Also when I thought a bit more about this question, I think I understood it now, they are... -
palaphys reacted to kuruman's post in the thread Minimum height of water to make the particle visible with
Like.
Your reasons for why it doesn't work are valid. Note that the observing eye as shown will still see the bottom of the container shifted... -
palaphys posted the thread Confusion on sign convention in X-ray problems in Introductory Physics Homework Help.The question seems very simple, and its solution is also very simple. But what bothers me is the wording- "energy of Molybdenum atoms"... -
palaphys replied to the thread Flux through a ring due to two charges.This post makes everything clear. Very high quality. All my doubts on this question got cleared! for a) I will take the direction of...








