renobueno4153's latest activity
-
renobueno4153 replied to the thread I Conservation of angular momentum in the iceskater example.Thank you guys for all the explanations. I think I see it a bit better now. But I still dont see one thing. I think i can see it that... -
renobueno4153 posted the thread I Conservation of angular momentum in the iceskater example in Mechanics.Today in my physics lecture we looked at the conservation of angular momentum. I dont understand the iceskater example: If an iceskater... -
renobueno4153 replied to the thread Struggling to make relation between elastic force and height.i think i get it now, Thx guys! -
renobueno4153 replied to the thread Struggling to make relation between elastic force and height.its in the first picture. all the way to the right. :) -
renobueno4153 posted the thread Struggling to make relation between elastic force and height in Introductory Physics Homework Help.Hello guys this is what I tried so far. I used the UTS to calculate the force it needs when the rope tears. My idea was to make a... -
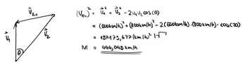
renobueno4153 replied to the thread Trying to understand the logic behind adding vectors with an angle between them.Wait but why do I know the 500km/h and 800km/h are their magnitude and not their vector components? -
renobueno4153 replied to the thread Trying to understand the logic behind adding vectors with an angle between them.Thanks for all of your time! -
renobueno4153 replied to the thread Trying to understand the logic behind adding vectors with an angle between them.Ohhh I think I see where was confused. I think it was my mathematical reasoning was flawed and that was reason i didnt understand it! -
renobueno4153 posted the thread Trying to understand the logic behind adding vectors with an angle between them in Introductory Physics Homework Help.My initial calculation was to subtract V1 from V2 to show that from the perspective of the second aircraft the first one is -300km/h... -
renobueno4153 reacted to haushofer's post in the thread I Is calling fictitious forces "not real" just about terminology? with
Like.
My 2 cents: if you're being pushed in your chair because the train accelerates, it's a frame-independent fact that an engine makes the... -
renobueno4153 replied to the thread I Is calling fictitious forces "not real" just about terminology?.Thx to all of you guys! Much appreciated! -
renobueno4153 replied to the thread I Is calling fictitious forces "not real" just about terminology?.HOLY SMOKES THATS SICK. Ok this video hooked me so much that I watched the whole 20min. So I can see now that fictitious forces are... -
renobueno4153 reacted to robphy's post in the thread I Is calling fictitious forces "not real" just about terminology? with
Like.
Possibly enlightening Frames of Reference (featuring Hume & Ivey) by Richard Leacock go to 17:05 for the rotating frame -
renobueno4153 reacted to wrobel's post in the thread I Is calling fictitious forces "not real" just about terminology? with
Like.
Fictitious forces appear as a result of the following banal mathematical trick. Consider the second Newton relative an inertial frame... -
renobueno4153 reacted to jbriggs444's post in the thread I Is calling fictitious forces "not real" just about terminology? with
Like.
Yes. I agree with pretty much everything you have written about the distinction between real and fictitious forces. A real force (or...


