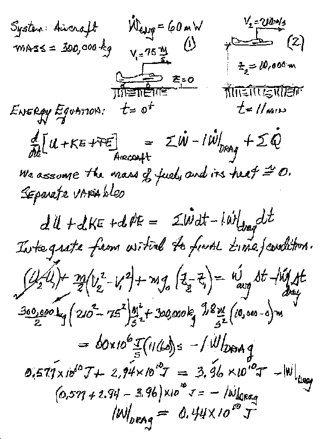
Aircraft Work Against Drag
An airliner of mass 300 tons is powered by four engines each of which develops a steady power of 15,000 kW. The take-off speed of the aircraft 75 m/s. The aircraft requires 11 minutes to attain its cruising speed of 210 m/s at an altitude of 10,000 meters.
Calculate the work of the aircraft expended to overcome the air resistance, or drag, it experiences for the duration of the climb.
Solution