Gavran's latest activity
-
GGavran replied to the thread Why Are You Still Here? A Curious Question.“Dum vivimus, discimus” or “While we live, we learn”
-
GI worked out the overlap of the two squares as a function of angle. Given ##a## is the half edge length of the original square and...
-
GGavran reacted to jrmichler's post in the thread What mathematics software should engineering students use? with
Informative.
My jobs have been mostly analyst, problem solver, mentoring young engineers, and project engineering. I have used MATLAB extensively... -
GGavran reacted to nomadreid's post in the thread Undergrad Erroneously finding discrepancy in transpose rule with
Like.
Thanks very much, Gavron! I see my error now. I had not rid myself of my prejudice that isomorphism preserved all structures; I... -
GGavran replied to the thread High School Area of Overlapping Squares.This is my interpretation of the problem statement in the original post.
-
GGavran replied to the thread Undergrad Erroneously finding discrepancy in transpose rule.The transposition of a complex number is the same complex number, and the conjugation of a real matrix is the same real matrix. It is...
-
GGavran reacted to nomadreid's post in the thread Undergrad Erroneously finding discrepancy in transpose rule with
Like.
Thanks, Gavran, but apparently I did not express myself very well. Let me try again. First, if I understand your post correctly (but... -
GGavran replied to the thread Undergrad Erroneously finding discrepancy in transpose rule.The conjugation of a complex number is also a complex number. So the conjugation of a complex number twice corresponds to the...
-
GGavran reacted to Charles Link's post in the thread Undergrad Trigonometry problem of interest with
Like.
Some of it depends upon who the audience is. If you have a construction worker building something, he'll know immediately what a 90... -
GGavran replied to the thread Undergrad Trigonometry problem of interest.There is an interesting text regarding degrees versus radians on...
-
GGavran replied to the thread Einstein vs Newton - Who is your favorite and why?.I do not know what you are trying to say here. If you want to take any step in your life, first you have to be born.
-
GGavran replied to the thread Einstein vs Newton - Who is your favorite and why?.Isaac Newton was a great physicist, and he was also a great mathematician, which made him more independent than Albert Einstein. My...
-
GGavran reacted to nomadreid's post in the thread Undergrad Erroneously finding discrepancy in transpose rule with
Like.
Thanks, Gavron. These simple examples are very nice. -
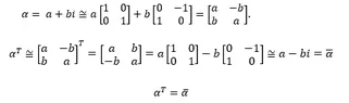
GGavran replied to the thread Undergrad Erroneously finding discrepancy in transpose rule.There is an isomorphism between the field of complex numbers and a specific set of 2x2 real matrices where a complex number ## a+bi ##...
-
GGavran reacted to bob012345's post in the thread High School More similar triangle problems with
Like.
The way to determine ##(a,b)## uniquely is to pick an angle ##\phi##. Then we have ##b=2tan(\phi)## and ##a=4/tan(\phi)##. As ##\phi##...


