Mike_bb's latest activity
-
MMike_bb replied to the thread Undergrad How to define a vector field?.Could you explain how to derive this formula?
-
MMike_bb reacted to wrobel's post in the thread Undergrad How to define a vector field? with
Informative.
You can define a vector field as follows. Assume that in any coordinates ##x=(x^1,\ldots,x^m)## in a domain ##D\subset\mathbb{R}^m##... -
MMike_bb replied to the thread Undergrad How to define a vector field?.fresh_42 martinbn Big thanks!! :smile:
-
MThe book defines vectora and vector fields in the begining. This part is to define the curl of a vector field or the rot (вихрь). The...
-
MI wouldn't use "higher terms equal 0". Instead, think of the standard example of a vector field, a tangent field. It consists of...
-
MMike_bb reacted to fresh_42's post in the thread Undergrad How to define a vector field? with
Informative.
In its most abstract form, a vector field is a basis set ##B## of points and a vector ##\vec{v}_p## attached to each point ##p## of... -
MMike_bb reacted to fresh_42's post in the thread Undergrad How to define a vector field? with
Informative.
I didn't miss it. Your question was all about the higher terms, and I answered that instead of looking at higher-order terms and... -
MMike_bb reacted to fresh_42's post in the thread Undergrad How to define a vector field? with
Informative.
Yes. I like Weierstrass's notation of a derivative: ##f## is differentiable at ##x_0## if there is a linear map ##J##, such that... -
MMike_bb replied to the thread Undergrad How to define a vector field?.I'm not sure if it's so but the book uses such terms as "very small element f" = "infinitesimal element f" in context of vector ##V##...
-
MMike_bb replied to the thread Undergrad How to define a vector field?.You missed one thing that I wrote in post #1. I mentioned about Taylor series as it was written in the book.
-
MMike_bb replied to the thread Undergrad How to define a vector field?.The book doesn't use such terms as "tangent space" and "manifold" quite. The book contains a chapter that is devoted to an introduction...
-
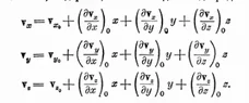
MMike_bb replied to the thread Undergrad How to define a vector field?.Russian book "Theory of electricity". https://scask.ru/k_book_tel.php?id=19 page 38
-
MHello! In one book I saw that function ##V## of 3 variables ##V_x, V_y, V_z## (vector field in 3D) can be decomposed in a Taylor series...
-
MMike_bb reacted to Ibix's post in the thread Undergrad Problem with calculating projections of curl using rotation of contour with
Like.
It's a little hard to say what went wrong because you haven't given any detail of what you actually did. The first bit I understand... -
MMike_bb reacted to Ibix's post in the thread Undergrad Problem with calculating projections of curl using rotation of contour with
Like.
In which case only partial derivatives of ##A_x## can multiply ##\vec{\hat{x}}'##. That doesn't seem plausible, particularly if you...
