Sagittarius A-Star's latest activity
-
Sagittarius A-Star replied to the thread I The Einstein Clock aka Light Clock.The explanation of aberration in the light-clock scenario does not only work with classical particles, but also with EM waves. The... -
Sagittarius A-Star replied to the thread I The Einstein Clock aka Light Clock.Do you mean the case ##v=0##? You get ##2\arccos{} 0= \pi##, but not ##2\pi##. It seems that you want to describe the headlight effect... -
Sagittarius A-Star replied to the thread B Train Fall Paradox.In the restframe of the train, the bridge-length maybe even smaller than the train-length due to length contraction, if the bridge moves... -
Sagittarius A-Star replied to the thread I Synchronizing clocks in an inertial frame if light is anisotropic.The crater depth will not be different. -
Sagittarius A-Star replied to the thread I Synchronizing clocks in an inertial frame if light is anisotropic.A change in kinetic energy is ##\int \vec F \cdot d\vec s##. A force to decelerate the moving body by mechanical contact is in the end... -
Sagittarius A-Star replied to the thread I Synchronizing clocks in an inertial frame if light is anisotropic.I think this must be multiplied with ##m## to get the four-momentum. -
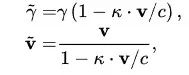
Sagittarius A-Star replied to the thread I Synchronizing clocks in an inertial frame if light is anisotropic.This means for proper time squared: ##(d\tau)^2 = (dT + \kappa dX)^2 - dX^2 - dY^2 - dZ^2\ \ \ \ \ (1)## Multiplying equation ##(1)##... -
Sagittarius A-Star replied to the thread I Synchronizing clocks in an inertial frame if light is anisotropic.But I think it is correct: The reason is, that the term ##m ({dx \over d\tau}, {dy \over d\tau}, {dz \over d\tau})## does not contain... -
Sagittarius A-Star replied to the thread I Synchronizing clocks in an inertial frame if light is anisotropic.Conserved energy is the time-component of the 4-momentum ##p_\mu=m {dx_\mu \over d\tau}##. ##E = m {dt \over d\tau}##. The conserved... -
Sagittarius A-Star replied to the thread I Synchronizing clocks in an inertial frame if light is anisotropic.Please see A. Einstein: "The Meaning of Relativity"/Lecture 2, equations (39) and (42)... -
Sagittarius A-Star replied to the thread I Synchronizing clocks in an inertial frame if light is anisotropic.Einstein modified Newton's definition ##p_x=mv_x## to ##p_x=m {dx \over d\tau}##. This does not depend on the clock-synchronization... -
Sagittarius A-Star reacted to JimWhoKnew's post in the thread B Trying to calculate proper time of worldlines using rotating frames with
Like.
As @PeterDonis said in #22, the OP calculated in the Born coordinates (see the "edit" note at the end of #20). I just "tidied up" the... -
Sagittarius A-Star reacted to PeterDonis's post in the thread B Trying to calculate proper time of worldlines using rotating frames with
Like.
I'm not sure the OP is actually using the same Born coordinates for both observers. The calculation in post #7 looks like it's... -
Sagittarius A-Star replied to the thread B Trying to calculate proper time of worldlines using rotating frames.To my understanding this is valid for oberserver ##p_1##, but not for ##p_2## described in the same coordinates.
