Factor an equation second order in ##x,y## with other variables

  • Thread starter Thread starter brotherbobby
  • Start date Start date
  • Tags Tags
    Algebra
Click For Summary

Homework Help Overview

The discussion revolves around factoring a second-order equation involving variables ##x## and ##y##, along with other parameters such as ##a##, ##b##, and ##c##. Participants express their attempts and seek guidance on how to approach the problem without resorting to the provided answers in the textbook.

Discussion Character

  • Exploratory, Assumption checking, Mathematical reasoning

Approaches and Questions Raised

  • Participants share various attempts at factoring the equation, with some suggesting methods like completing the square and expanding expressions. Others express uncertainty about their approaches and seek clarification on how to proceed without looking at the answers.

Discussion Status

The discussion is ongoing, with several participants exploring different methods and sharing their thoughts. Some have provided partial insights into their reasoning, while others are still grappling with the problem. There is an atmosphere of collaboration, as participants encourage each other to think through the problem.

Contextual Notes

Some participants mention constraints such as a desire to avoid using external tools like Wolfram for solutions, emphasizing a preference for traditional methods. There are also references to the historical context of the textbook material, which influences their approach to the problem.

brotherbobby
Messages
784
Reaction score
172
Homework Statement
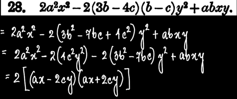
Resolve into two or more factors : ##\large{\boldsymbol{2a^2x^2-2(3b-4c)(b-c)y^2+abxy}}##.
Relevant Equations
1. ##a^2-b^2=(a+b)(a-b)##
1706337399659.png
Statement of the problem :
Let me copy and paste to the right the problem as it appears in the text.

Attempt : I couldn't go far into the solution. Below is my hopeless attempt.

1706337172892.png


Request : Any hints would be welcome.

[There are no solutions provided, but the answers are at the back of the text. I don't want to cheat my way out by looking at the factorised answer and then working my way back, though I admit it can lead to some learning too in the process]
 
  • Like
Likes   Reactions: Delta2
Physics news on Phys.org
Hmm not sure, wolfram does this very fast and it gives 2 factors with 3 terms each that is $$(A+B+C)(D+E+F)$$
 
Thanks but how to go about it? I have the answer already at the back of the text, am sure, but that doesn't help. :-(
 
Well I don't know, looking at the wolfram answer the terms are +-(ax) +-(by) +-(cy), so I guess something like full expand the expression and then try to identify these terms and/or their squares.
 
The website is good as a check, but not one to learn mathematics from.
I'd like to do it the old way, not least because my text is from the 1800's!
 
  • Like
  • Informative
Likes   Reactions: DaveE, fresh_42 and Delta2
My original idea before looking at wolfram was to write $$(3b-4c)(b-c)y^2=3(b-c)^2y^2-c(b-c)y^2$$ and see if that helps but I abandon it maybe this idea inspires you but I very much doubt it.
 
Why so? Not bad at all. Let me give it a try.
I am clueless with this problem so every little helps.
 
brotherbobby said:
Homework Statement: Resolve into two or more factors : ##\large{\boldsymbol{2a^2x^2-2(3b-4c)(b-c)y^2+abxy}}##.
Relevant Equations: 1. ##a^2-b^2=(a+b)(a-b)##

View attachment 339261Statement of the problem : Let me copy and paste to the right the problem as it appears in the text.

Attempt : I couldn't go far into the solution. Below is my hopeless attempt.

View attachment 339259

Request : Any hints would be welcome.

[There are no solutions provided, but the answers are at the back of the text. I don't want to cheat my way out by looking at the factorised answer and then working my way back, though I admit it can lead to some learning too in the process]
Why not multiply back your factored form see if you get back your initial expression?
 
What comes to mind is "completing the square". We have ...
\begin{align*}
2a^2x^2-2(3b-4c)(b-c)y^2+abxy&=2a^2x^2-(6b^2-14bc+8c^2)y^2+abxy\\
&=2a^2x^2-(6b^2-14bc+(49/6)c^2)y^2+abxy + (1/6)c^2y^2\\
&=2a^2x^2 -(\sqrt{6}b-(7c/\sqrt{6}))^2 +abxy + (1/6)c^2y^2\\
&\ldots
\end{align*}
... but I admit that I don't have a clue how to go on.

Another idea is to use only the terms with a coefficient ##a## first ...
\begin{align*}
2a^2x^2-2(3b-4c)(b-c)y^2+abxy&=\left(\sqrt{2}ax+\dfrac{by}{2\sqrt{2}}\right)^2-\dfrac{b^2}{8}y^2 \ldots\\
\phantom{2a^2x^2-2(3b-4c)(b-c)y^2+abxy=}&\ldots -\left(\sqrt{6}b-\dfrac{7c}{\sqrt{6}}\right)^2 + \dfrac{c^2}{6}y^2\\
&=\ldots
\end{align*}
... which looks as if ##(A-B)(A+B)=A^2-B^2## could now be applied twice.

This exercise looks like it is meant to practice all variations of the formulas ##(A\pm B)(A\mp B)=\ldots ## and completing the square.
 
Last edited:
  • Like
Likes   Reactions: MatinSAR and Delta2
  • #10
Cant see the full solution in wolfram cause I don't have subscription there but it claims as first step to split the product $$4a^2y^2(3b-4c)(b-c) $$into two factors that have sum ##aby##. Those AI engines can be amazing but I don't think a human could think that unless of course he was thinking this for like days.
 
  • #11
Delta2 said:
Cant see the full solution in wolfram cause I don't have subscription there but it claims as first step to split the product $$4a^2y^2(3b-4c)(b-c) $$into two factors that have sum ##aby##. Those AI engines can be amazing but I don't think a human could think that unless of course he was thinking this for like days.
That human didn't need to think. I guess he just expand sth like (ax+b+c)(ax+y-c) to get sth else and asks us to find first two factors. I can't see how it helps to learn sth it's more similar to a puzzle.

I don't know why Latex doesn't work in my posts anymore ...
 
  • #12
MatinSAR said:
I don't know why Latex doesn't work in my posts anymore ...
It requires refreshing the page occasionally.
 
  • Like
Likes   Reactions: MatinSAR
  • #13
MatinSAR said:
That human didn't need to think. I guess he just expand sth like (ax+b+c)(ax+y-c) to get sth else and asks us to find first two factors. I can't see how it helps to learn sth it's more similar to a puzzle.

I don't know why Latex doesn't work in my posts anymore ...
as human here you mean the problem setter? I was talking about the guy that tries to solve this problem.
 
  • Like
Likes   Reactions: MatinSAR
  • #14
fresh_42 said:
It requires refreshing the page occasionally.
Thanks.
Delta2 said:
as human here you mean the problem setter?
Yes. I misunderstood your idea. Sorry.
 
  • Like
Likes   Reactions: Delta2
  • #15
Given the coefficient of [itex]x^2[/itex] is [itex]2a^2[/itex], it makes sense to look for a solution [tex] 2(ax + By)(ax + Dy) = 2a^2x^2 + 2a(B + D)xy + 2BDy^2.[/tex] Since [itex]p = B + D[/itex] and [itex]q = BD[/itex] are known, we can find [itex]B[/itex] and [itex]D[/itex] as the roots of [tex] z^2 - pz + q = 0.[/tex]

Since those factors involve square roots, we can instead try [tex](2ax + By)(ax + Dy) = 2a^2x^2 + a(B + 2D)xy + BDy^2.[/tex] which leads to [itex]B + 2D = b[/itex] and [itex]BD = -2(3b - 4c)(b - c)[/itex] which by inspection has a solution [itex]B = -(3b - 4c), D = 2(b - c)[/itex].
 
Last edited:
  • Like
  • Informative
Likes   Reactions: DaveE, e_jane, MatinSAR and 1 other person

Similar threads

  • · Replies 15 ·
Replies
15
Views
3K
  • · Replies 9 ·
Replies
9
Views
2K
Replies
1
Views
2K
Replies
12
Views
2K
Replies
7
Views
2K
Replies
3
Views
3K
  • · Replies 10 ·
Replies
10
Views
2K
  • · Replies 11 ·
Replies
11
Views
2K
  • · Replies 10 ·
Replies
10
Views
2K
Replies
4
Views
2K