K dot p method with SO interaction

Click For Summary
SUMMARY

The discussion focuses on deriving the k dot p formula while incorporating the spin-orbit interaction term. The user is encountering challenges with the treatment of the cross product term resulting from the spin-orbit interaction and the implications of the Pauli matrix vector on the spinor. Additionally, the user seeks clarification on how to apply the momentum operator p to Bloch states, particularly in the context of degenerate perturbation theory and diagonalizing the sigma matrices.

PREREQUISITES
  • Understanding of k dot p perturbation theory
  • Familiarity with spin-orbit coupling in quantum mechanics
  • Knowledge of Bloch wave functions and their properties
  • Proficiency in working with Pauli matrices and spinors
NEXT STEPS
  • Study the derivation of the k dot p method with spin-orbit interaction
  • Learn about the application of Pauli matrices in quantum mechanics
  • Research degenerate perturbation theory and its implications
  • Explore the mathematical treatment of Bloch states under momentum operators
USEFUL FOR

Quantum physicists, researchers in condensed matter physics, and students studying semiconductor physics who are interested in advanced topics related to spin-orbit coupling and perturbation theory.

aaaa202
Messages
1,144
Reaction score
2
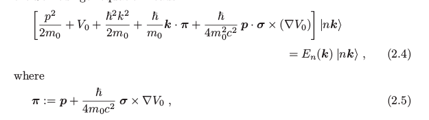
I am trying to derive the k dot p formula with the spin orbit interaction term included. I am having some trouble. I insert a bloch wave function multiplied with an unspecified spinor. But how do I treat the cross product term that comes from the SO and what is the effect of the pauli matrix vector on the spinor? And also: Since the spin orbit term contain the gradient of the coulomb potential how can I let p act on the bloch states? (I assume this how you derive the correct formula?)
The result I want is the attached. Also I attached what I have written up so far.
 

Attachments

  • 14087517_1381755861836469_758559370_o.jpg
    14087517_1381755861836469_758559370_o.jpg
    38.4 KB · Views: 545
  • Screenshot from 2016-08-21 17:50:36.png
    Screenshot from 2016-08-21 17:50:36.png
    4 KB · Views: 600
This is a problem of degenerate perturbation theory. I would first try to diagonalize the sigma matrices.
 

Similar threads

  • · Replies 2 ·
Replies
2
Views
3K
  • · Replies 2 ·
Replies
2
Views
1K
  • · Replies 0 ·
Replies
0
Views
3K
  • · Replies 20 ·
Replies
20
Views
7K
  • · Replies 0 ·
Replies
0
Views
3K
  • · Replies 1 ·
Replies
1
Views
3K
  • · Replies 1 ·
Replies
1
Views
2K
  • · Replies 3 ·
Replies
3
Views
2K
  • · Replies 1 ·
Replies
1
Views
2K
  • · Replies 6 ·
Replies
6
Views
3K