greg_rack
Gold Member
- 361
- 79
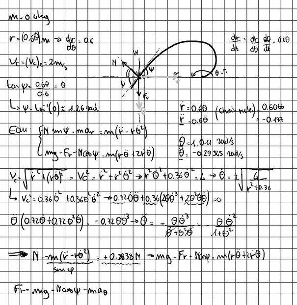
- Homework Statement
- Using a forked rod, a smooth cylinder P, having a mass ##m##, is forced to move along the vertical slotted parth ##r=(0.6\theta)m##, with ##\theta## in radians. If the cylinder has a constant speed ##v_c=2m/s##, determine the force of the slot on the cylinder at the instant ##\theta=\pi rad##.
Assume the cylinder is in contact with only one edge of the rod and slot at any instant.
- Relevant Equations
- velocity and acceleration components in polar coordinates, Newton's 2nd law.

Hello guys,
here's another problem I'm having troubles with(I have attached my working out not for laziness, but clarity since steps are many).
I started by defining a polar coordinate system, and then drawing the FBD and KD to get to the equations of motion for particle P.
I identified 3 acting forces: a normal force, a force(##F_r##) exerted by the rod in the transverse direction such as(at this instant) the weight.
I calculated ##\psi## so to be able to decompose ##N## in its polar components, and wrote the EOM wrt my drawing.
After a whole bunch of tedious chain rule I managed to calculate first and second derivatives of ##r, \ \theta## in order to compute the accelerations for inertial forces.
Solving now the EOM for N and ##F_r##, I end up with the correct value for N, but the wrong one for ##F_r##, which should(curiously?) apparently be equal to the weight of the cylinder(##mg=3.92N##), as opposed to my result(##-mg+Ncos\psi +ma_{\theta}=-3.384N##).
What have I done wrong?
Last edited:

