Why Do I Get Negative Values Solving the SHM Spring Problem?

  • Thread starter Thread starter torinketo
  • Start date Start date
  • Tags Tags
    problem Shm
Click For Summary

Homework Help Overview

The discussion revolves around a spring problem in the context of simple harmonic motion (SHM), where the original poster is attempting to solve for the spring constant and mass using given values. The challenge arises from obtaining negative values for these parameters, which prompts further inquiry into the setup and assumptions of the problem.

Discussion Character

  • Exploratory, Assumption checking

Approaches and Questions Raised

  • Participants discuss the equations used to relate the period of oscillation to mass and spring constant. There is uncertainty regarding whether the displacement value pertains to the combined masses or just one of them, leading to questions about the interpretation of the variables involved.

Discussion Status

The conversation reflects an ongoing exploration of the problem, with participants clarifying the conditions under which the period is measured. Some guidance is offered regarding significant figures and units, although the overall resolution of the negative values remains unaddressed.

Contextual Notes

There is ambiguity regarding the interpretation of the displacement and mass values, as well as the significance of significant figures in the context of the provided data.

torinketo
Messages
2
Reaction score
1
Homework Statement
A block of unknown mass is attached to the end of a vertical spring. When a second 50 g block is suspended, the spring extends by 38 cm. The oscillation period without the second 50 g block is 0.8 s. Find:

(a) the spring constant of the spring (in N/m);
(b) the mass of the first block (in kg).
Relevant Equations
T=2pi*sqrt(m/k)
k=mg/x
m1 = unknown
m2 = 0.05 kg
x = 0.38 m
T = 0.8s

Tried to plug in values into the above equations:

0.8 = 2pi*sqrt(m1+0.05/k)
k = ((m1+0.05)*9.8)/0.38

Got negative values for both k and m which doesn't make sense
 
Physics news on Phys.org
torinketo said:
0.8 = 2pi*sqrt(m1+0.05/k)
The 0.8 seconds is for m1 by itself.
torinketo said:
k = ((m1+0.05)*9.8)/0.38
It's not clear whether the 0.38m is for the masses together or just the 50g mass.
 
  • Like
Likes   Reactions: Delta2 and torinketo
haruspex said:
The 0.8 seconds is for m1 by itself.

It's not clear whether the 0.38m is for the masses together or just the 50g mass.
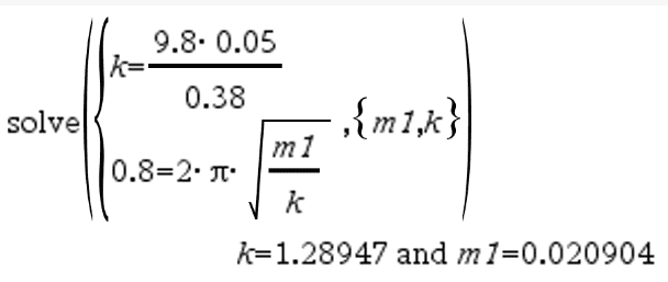
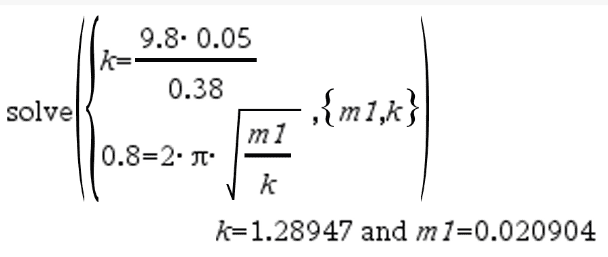
Thank you very much, this was the right answer :)

Screenshot_5.png
 

Attachments

  • Screenshot_5.png
    Screenshot_5.png
    9.5 KB · Views: 131
  • Like
Likes   Reactions: haruspex
torinketo said:
Thank you very much, this was the right answer :)

View attachment 338824
Good, but you show too many significant figures. The data you were given only have two (the 0.8s only one, but probably intends 0.80s). And you should always state the units. So better answers are 1.3 kg/s2 and 0.021kg.
 
  • Like
Likes   Reactions: torinketo

Similar threads

Replies
6
Views
3K
  • · Replies 30 ·
2
Replies
30
Views
3K
Replies
24
Views
4K
  • · Replies 17 ·
Replies
17
Views
6K
  • · Replies 10 ·
Replies
10
Views
4K
  • · Replies 13 ·
Replies
13
Views
6K
  • · Replies 2 ·
Replies
2
Views
2K
Replies
3
Views
1K
Replies
7
Views
2K
  • · Replies 8 ·
Replies
8
Views
2K