Applications of algebraic expressions

  • Thread starter Thread starter MatinSAR
  • Start date Start date
  • Tags Tags
    Applications
Click For Summary

Homework Help Overview

The discussion revolves around algebraic expressions, specifically involving the relationships between variables defined by equations. The original problem presents a scenario with expressions for \(x^{1394}\), \(x^{1396}\), and seeks to determine \(x^{1398}\) based on given values.

Discussion Character

  • Exploratory, Assumption checking, Problem interpretation

Approaches and Questions Raised

  • Participants share their answers and seek validation, questioning the clarity and correctness of their interpretations. There are discussions about the relationships between the variables \(a\), \(b\), and \(c\), and the potential for hidden identities among them. Some participants express uncertainty about the problem's structure and suggest alternative approaches.

Discussion Status

The discussion is ongoing, with participants actively seeking clarification and exploring different interpretations of the problem. Some have offered insights into potential relationships between the variables, while others are still grappling with the clarity of their own answers and the problem's requirements.

Contextual Notes

There are indications of confusion regarding the problem's clarity and structure, with some participants suggesting that the question could be better framed to facilitate understanding. The lack of explicit consensus on the correctness of the answers shared contributes to the ongoing nature of the discussion.

MatinSAR
Messages
673
Reaction score
205
Homework Statement
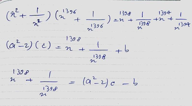
If ##x+1/x=a## and ##x^{1394}+\frac {1}{x^{1394}}=b## and ##x^{1396}+\frac {1}{x^{1396}}=c## then what is ##x^{1398}+\frac {1}{x^{1398}}## equal to?
Relevant Equations
Empty.
Hello. This is my answer:
https://up.maralhost.com/imagef-37f78ec7d1bd1-jpg.html
Can someone tell me If I am wrong?

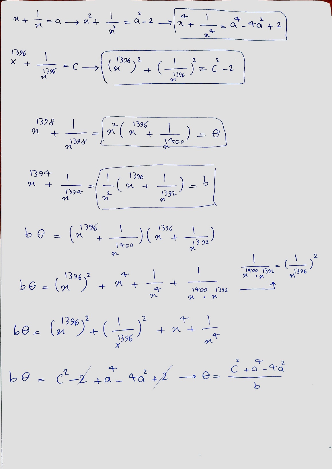
Book's answer:
2023_08_11 11_37 PM Office Lens.jpg
 
Last edited:
Physics news on Phys.org
MatinSAR said:
Homework Statement: If ##x+1/x=a## and ##x^{1394}+\frac {1}{x^{1394}}=b## and ##x^{1396}+\frac {1}{x^{1396}}=c## then what is ##x^{1398}+\frac {1}{x^{1398}}## equal to?
Relevant Equations: Empty.

Hello. This is my answer:
View attachment 330406
Can someone tell me If I am wrong?

Book's answer:
View attachment 330408
The book answer appears simple and unimpeachable to me.
 
  • Like
Likes   Reactions: MatinSAR
PeroK said:
The book answer appears simple and unimpeachable to me.
Thanks for your reply.
You were not able to understand my answer(I am sorry it was not clear) or it was compeletly wrong?

More clear explanations and better quality:
https://up.maralhost.com/imagef-37f78ec7d1bd1-jpg.html
 
Last edited:
MatinSAR said:
Thanks for your reply.
You were not able to understand my answer(I am sorry it was not clear) or it was compeletly wrong?

More clear explanations and better quality:
https://up.maralhost.com/imagef-37f78ec7d1bd1-jpg.html
That looks like an alternative. ##a,b,c## are related, so there must be several different identities hidden there.
 
  • Like
Likes   Reactions: MatinSAR
PeroK said:
That looks like an alternative. ##a,b,c## are related, so there must be several different identities hidden there.
Thank you again. For taking time to help me...
I will try to find a link between 2 answers. If it was successful I will inform...
 
  • Like
Likes   Reactions: BvU
PeroK said:
That looks like an alternative. ##a,b,c## are related, so there must be several different identities hidden there.
Yes, it is a poor question. E.g. you could solve the quadratic to find x as a function of a then plug that in.
It should be structured as "show that".
 
  • Like
Likes   Reactions: MatinSAR

Similar threads

  • · Replies 11 ·
Replies
11
Views
4K
  • · Replies 11 ·
Replies
11
Views
3K
  • · Replies 12 ·
Replies
12
Views
2K
  • · Replies 16 ·
Replies
16
Views
2K
Replies
7
Views
2K
  • · Replies 17 ·
Replies
17
Views
10K
Replies
1
Views
2K
Replies
8
Views
2K
Replies
4
Views
2K
  • · Replies 23 ·
Replies
23
Views
3K