Can X^3 Equal sqrt{81} with MathMagic Lite?

  • Context: MHB 
  • Thread starter Thread starter mathdad
  • Start date Start date
Click For Summary

Discussion Overview

The discussion revolves around the equation \(x^3 = \sqrt{81}\) and the use of MathMagic Lite for mathematical expressions. Participants explore the roots of the equation, including real and complex solutions, while also sharing opinions on the software used for mathematical notation.

Discussion Character

  • Exploratory, Technical explanation, Debate/contested

Main Points Raised

  • Some participants assert that there are three roots for the equation \(x^3 = \sqrt{81}\), including one real root and two complex conjugate roots.
  • One participant suggests factoring the equation as a difference of cubes to find the roots.
  • Another participant expresses a preference for \(\LaTeX\) over MathMagic Lite for posting mathematical expressions, citing aesthetic and functional reasons.
  • There is a discussion about whether the original answer provided was incorrect, with some participants clarifying that the real solution is valid but incomplete without acknowledging the complex roots.
  • One participant states their intention to continue using MathMagic Lite due to its ease of use.

Areas of Agreement / Disagreement

Participants generally agree that there are multiple roots to the equation, but there is no consensus on the superiority of MathMagic Lite versus \(\LaTeX\). The discussion remains unresolved regarding the completeness of the original answer.

Contextual Notes

Some assumptions about the requirement for real versus complex solutions are not explicitly stated, leading to potential ambiguity in the discussion.

mathdad
Messages
1,280
Reaction score
0
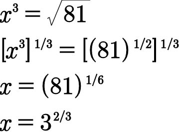
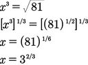
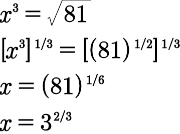
Is the following correct?
 

Attachments

  • MathMagic170915_4.png
    MathMagic170915_4.png
    4 KB · Views: 106
Mathematics news on Phys.org
RTCNTC said:
Is the following correct?

yes
 
You're actually missing two roots of the equation:

$$x^3=\sqrt{81}$$

Write as difference of cubes:

$$x^3-\left(3^{\frac{2}{3}}\right)^3=0$$

Factor:

$$\left(x-3^{\frac{2}{3}}\right)\left(x^2+3^{\frac{2}{3}}x+3^{\frac{4}{3}}\right)=0$$

The quadratic factor will yield the two complex conjugate roots. ;)
 
MarkFL said:
You're actually missing two roots of the equation:

$$x^3=\sqrt{81}$$

Write as difference of cubes:

$$x^3-\left(3^{\frac{2}{3}}\right)^3=0$$

Factor:

$$\left(x-3^{\frac{2}{3}}\right)\left(x^2+3^{\frac{2}{3}}x+3^{\frac{4}{3}}\right)=0$$

The quadratic factor will yield the two complex conjugate roots. ;)

What do you think of MathMagic Lite? Cool, right?

1. Are you saying that my answer is wrong?

2. How badly was your area hit by Irma?
 
RTCNTC said:
What do you think of MathMagic Lite? Cool, right?

I much prefer $\LaTeX$...it looks a lot better, can be quoted, and seen in the "Topic Review" element. You can fix the last issue by attaching the images inline, but $\LaTeX$ is still the far superior solution for posting math expressions, IMHO. :)

RTCNTC said:
1. Are you saying that my answer is wrong?

No, I'm just saying there are two other values of $x$ that satisfy the given equation. Now, the answer you gave is real, and the other two solutions are complex, so unless the problem states only to look for real solutions, then we must give all 3.

RTCNTC said:
2. How badly was your area hit by Irma?

It was hit pretty hard, but not as hard as pretty much all points to the south of me. :)
 
I will continue using MathMagic Lite. It is easy and less stressful to use.
 

Similar threads

  • · Replies 2 ·
Replies
2
Views
1K
  • · Replies 4 ·
Replies
4
Views
2K
Replies
6
Views
2K
Replies
2
Views
2K
  • · Replies 3 ·
Replies
3
Views
1K
  • · Replies 2 ·
Replies
2
Views
2K
  • · Replies 2 ·
Replies
2
Views
2K
Replies
5
Views
2K
Replies
3
Views
2K
  • · Replies 16 ·
Replies
16
Views
2K