Change the value of a variable at each time step in matlab?

Click For Summary

Discussion Overview

The discussion revolves around solving a second-order differential equation that includes a time-dependent term, specifically in the context of MATLAB implementation. Participants explore methods for integrating the equations and handling the dependencies between variables, particularly in relation to orbital mechanics and perturbation effects.

Discussion Character

  • Technical explanation
  • Mathematical reasoning
  • Debate/contested

Main Points Raised

  • One participant describes an attempt to implement a second-order differential equation with a time-dependent term and seeks guidance on how to assign values to a variable at each time step during integration.
  • Another participant suggests using a dummy variable to convert the second-order ODE into a system of first-order equations, indicating this is a common approach.
  • A participant expresses confusion about whether the problem can be rewritten as a system of first-order ODEs, given the time-dependent nature of the terms involved.
  • Further clarification is sought regarding the coupling of the equations and the treatment of time-dependent variables, with one participant proposing a system of six first-order ODEs to address the problem.
  • Another participant mentions the possibility of reducing the number of equations by using the center of mass frame, which could simplify the integration process.

Areas of Agreement / Disagreement

Participants express differing views on how to approach the integration of the equations, with some advocating for rewriting the problem as a system of first-order ODEs while others emphasize the complexity introduced by time-dependent terms. The discussion remains unresolved regarding the best method to implement the solution.

Contextual Notes

There are limitations regarding the assumptions made about the dependencies between variables and the specific forms of the equations being discussed. The discussion does not resolve the mathematical steps necessary for integration.

patric44
Messages
308
Reaction score
40
TL;DR
is it possible to Change value of variable at each time step?
hi guys
I am trying to implement the a second order differential equation tat contains a time dependent term, the equation looks something like
r'' = -\mu/r^3+(g/g^3-m/m^3)
the idea is that i want to calculate 'r' the position vector of a point, that is dependent on vectors g and m, I tired to crate an simple ode integrator to get the g vector as

Matlab:
function dx = themoonpos(t,x)
R = 6378.137;
u = 398600.441800; % km/s2
% J2 = 0.0010826269;
% b = -1.5*J2*u*R^2 ;
r = sqrt(x(1)^2+x(3)^2+x(5)^2);
%% the propagator
    dx=[
    x(2)
    ;-u*x(1)/(r)^3
    ;x(4)
    ;-u*x(3)/(r)^3
    ;x(6);
    -u*x(5)/(r)^3];
end

than i tried to implement that in another function dx that will be integrated as

Matlab:
function dx = thethirdp(t,x,yk)
 k0 = [
  -120901.611171555;
  89921.008706315/(24*60*60);
-298392.399263114;
-25049.485694581/(24*60*60);
-162652.182605121;
-12799.914191783/(24*60*60)
];

opts = odeset; opts.RelTol = 10^-9;
[t2,yk] = ode45(@themoonpos,[0:60:5000],k0,opts);

R = 6378.137;
u = 398600.432896939; % km/s2
um = 4902.80058214776; % km/s2
J2 = 0.0010826269;
b = -1.5*J2*u*R^2 ;
r = sqrt(x(1)^2+x(3)^2+x(5)^2);
xm = (yk(1)-x(1));
ym = (yk(3)-x(3));
zm = (yk(5)-x(5));
rd = sqrt(yk(1)^2+yk(3)^2+yk(5)^2);
rm = sqrt(xm^2+ym^2+zm^2);
%% the perturbation
apx = um*((xm/((rm))^3)-yk(1)/(rd)^3);
apy = um*((ym/((rm))^3)-yk(3)/(rd)^3);
apz = um*((zm/((rm))^3)-yk(5)/(rd)^3);

%% the Integrator
    dx=[
    x(2)
    ;-u*x(1)/(r)^3+apx
    ;x(4)
    ;-u*x(3)/(r)^3+apy
    ;x(6);
    -u*x(5)/(r)^3+apz];
 end
then this function is integrated using the ode45.
the thing is the values yk i don't know how to assign it to each time step that the integrator uses, is this the right thing to do it
I hope anybody help i tried to post this on mathwork but no answer
 
Physics news on Phys.org
Maybe I am misunderstanding your question, but can't you just use the "usual" trick of introducing a dummy variable equal to r' (e.g. set x=r')and then solve the resulting system of two equations?
This should be well described in the manual

Generally speaking, when solving a 2nd order ODE you always end up solving a system of two equations (for 3rd order you would get 3 etc)
 
f95toli said:
Maybe I am misunderstanding your question, but can't you just use the "usual" trick of introducing a dummy variable equal to r' (e.g. set x=r')and then solve the resulting system of two equations?
This should be well described in the manual

Generally speaking, when solving a 2nd order ODE you always end up solving a system of two equations (for 3rd order you would get 3 etc)
the problem is that my 2nd order ode has a time dependent term that comes from another solution of a 2nd order ode, so I am trying to solve first for the first one and get a column vector of solutions, then plug that back into my other integrator to get the original "r" I want. but it doesn't seem to work
what is the usual way to do that?
 
Sorry, I still don't get it
Are you saying you have two coupled 2nd order ODEs?
I initially assumed that you should be able to rewrite this as a system of 1st order ODEs
I.e. similar to what is done in the example of the van der Pol equation in the Matlab documentation

https://uk.mathworks.com/help/matlab/ref/ode45.html

Are you saying you can't re-write your problem as a system of 1st order ODEs for some reason?
 
  • Informative
Likes   Reactions: patric44
patric44 said:
the problem is that my 2nd order ode has a time dependent term that comes from another solution of a 2nd order ode, so I am trying to solve first for the first one and get a column vector of solutions, then plug that back into my other integrator to get the original "r" I want. but it doesn't seem to work
what is the usual way to do that?

Isn't that just the single system
[tex] \begin{align*}<br /> \ddot g &= F_g(g) \\<br /> \ddot x &= F_x(x,g)<br /> \end{align*}[/tex]
 
  • Informative
Likes   Reactions: patric44
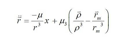
third.jpg

i am trying to solve this equation which take the third body perturbation into account
third22.jpg

separating each compoent I am left with 3 second order equations for each component with rm as a time dependent variable also, what is the right way to solve this ?
 
If you have 3 2nd order ODEs you should probably re-write this as a system of 6 1st order ODEs
When you say that rm is a time dependent variable; do you mean that it is an independent variable (no dependence on r) which changes over time?
 
  • Like
Likes   Reactions: patric44
f95toli said:
If you have 3 2nd order ODEs you should probably re-write this as a system of 6 1st order ODEs
When you say that rm is a time dependent variable; do you mean that it is an independent variable (no dependence on r) which changes over time?
i meant that the position of the moon is dependent on time, but I guess I can solve them as you guys said as a whole 6 second order coupled equations. I will try that hope it works 🤞
 
If you work in the inertial frame in which the centre of mass is fixed at the origin, then you can reduce the number of equations by a third since one of the positions can be determined from [tex] 0 = m_1\mathbf{r}_1 + m_2\mathbb{r}_2 + m_3\mathbf{r}_3.[/tex]
 
  • Informative
Likes   Reactions: patric44

Similar threads

  • · Replies 10 ·
Replies
10
Views
3K
  • · Replies 6 ·
Replies
6
Views
4K
  • · Replies 2 ·
Replies
2
Views
4K
  • · Replies 5 ·
Replies
5
Views
4K
  • · Replies 7 ·
Replies
7
Views
3K
  • · Replies 4 ·
Replies
4
Views
3K
  • · Replies 2 ·
Replies
2
Views
2K
  • · Replies 5 ·
Replies
5
Views
5K
  • · Replies 1 ·
Replies
1
Views
4K
  • · Replies 4 ·
Replies
4
Views
8K