karush
Gold Member
MHB
- 3,240
- 5
View attachment 8980
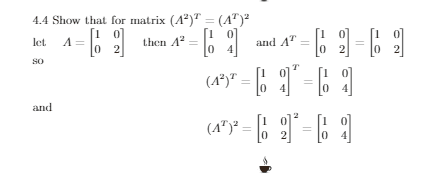
this is a c/p from my overleaf DE hw
but on proving this I only used a $2\times 2$ matrix
Also I thot $A^2$ meant A(A) a composite but the calculators just multiplied it.typos maybe
this is a c/p from my overleaf DE hw
but on proving this I only used a $2\times 2$ matrix
Also I thot $A^2$ meant A(A) a composite but the calculators just multiplied it.typos maybe
Attachments
Last edited: