Does a Voltmeter's needle jump?

  • Thread starter Thread starter Hamal_Arietis
  • Start date Start date
  • Tags Tags
    Jump Needle
Click For Summary

Homework Help Overview

The discussion revolves around the behavior of a voltmeter's needle in relation to induced electromotive force (emf) in a Faraday disk setup, particularly focusing on the effects of magnetic fields and conductor movement.

Discussion Character

  • Exploratory, Conceptual clarification, Assumption checking

Approaches and Questions Raised

  • Participants explore the conditions under which the voltmeter's needle may or may not jump, questioning the connections of the voltmeter probes and the setup of the experiment. They discuss the implications of magnetic field rotation and conductor movement on induced emf.

Discussion Status

Some participants have shared personal experiences with the experiment, noting confusion and unexpected results. Questions regarding the relationship between the magnetic field and the conductor's motion are actively being explored, with guidance offered on understanding the underlying principles of emf and voltage.

Contextual Notes

Participants mention assumptions about the symmetry of the magnet and the nature of the conductor, as well as the importance of understanding the role of the voltmeter's wires in the experiment.

Hamal_Arietis
Messages
156
Reaction score
15
Homework Statement
The problem is shown by image.
I is the magnet and assume that it can create a uniform magnetic field B.
II is the conductor.
III is the voltmeter.

Does the Voltmeter's needle jump in following situations?
a) rotate I (magnet) and II (conductor) with the same angular velocity $\omega$ by the same direction, but don't rotate III (voltmeter)
b) don't rotate I, and II but rotate III.
Relevant Equations
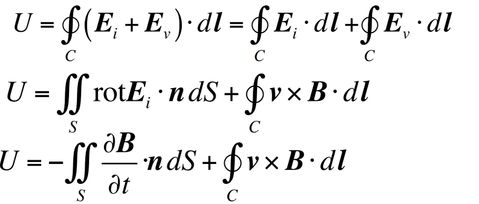
$$rot \vec{E}=-\frac{\partial{\vec{B}}}{\partial{t}}$$
$$\vec{E}=\vec{v} \times \vec{B}$$
1610136459941.png

I think Voltmeter's needle will not jump in both situations. But the answer is yes.
I am going to use this to explain why.
1610137272763.png

The reasons to create the voltage are by
- The changing by time of Magnetic field
- The move of the object in magnetic field
In both situations, they are not occur so I think the voltage's needle doesn't jump
 

Attachments

  • 1610137069845.png
    1610137069845.png
    21.9 KB · Views: 164
  • Like
Likes   Reactions: Delta2
Physics news on Phys.org
Where exactly are your voltmeter probes connected to the apparatus?
 
Last edited:
  • Like
Likes   Reactions: Hamal_Arietis
DaveE said:
Where exactly are your voltmeter probes connect to the apparatus?
one connect to the axle and the other end to a sliding contact, you can see in the image.
 
I was required to do this experiment at university and I was flabbergasted by the results - my predictions were completely wrong so I know how confusing it appears!

I am assuming the magnet is symmetric about its vertical axis and that all rotation is about that vertical axis.

Rather than blindly applying the equations, first think about what is happening. Imagine you are an electron - what do you feel? Imagine you can see the field lines - what are they doing? Only apply the equations when you know what is happening and why it is happening. Now use the equations to calculate the numerical values. Because you know what is happening and why it is happening you know the sign of the answers so you can check you don't make a silly error when you do the calculation.

The questions you need to ask yourself are

a) Does the magnetic field rotate if the magnet rotates?
b) Does the conductor in which the emf is induced rotate if the conductor disk rotates?

As far as the conductor is concerned, again I assume it is a symmetric cylinder (like a thin disk) with its axis vertical.

You can also ask yourself what part of the disk takes part in the experiment. Can you cut bits of it off without affecting the result (for small movements)? What does it look like when you remove everything not taking part?

The apparatus is called a Faraday disk.

You may also find it helpful to understand why an emf can be induced in a conductor of low resistance like a copper wire when it is moving relative to a magnetic field. Why doesn't the low resistance short out the voltage?

Think about the electrons in the wire. They experience a force pushing them along the wire. Electrons end up clustered where the magnetic field falls to zero so you have a negative charge gathered there which gives rise to the emf. They cannot flow back to neutralise everything even if the wire has zero resistance because of the force from the magnetic field. So the emf generated is proportional to the strength of the field and the speed of the wire (that gives the force), and the wire length. Take away the magnetic field or make the wire stationary and the emf falls to zero because the electrons move back to neutralise things.

Be sure to understand the subtle difference between an (induced) emf and a voltage.
 
Last edited:
  • Like
  • Love
Likes   Reactions: Delta2 and Hamal_Arietis
Frodo said:
The questions you need to ask yourself are

a) Does the magnetic field rotate if the magnet rotates?
b) Does the conductor in which the emf is induced rotate if the conductor disk rotates?

As far as the conductor is concerned, again I assume it is a symmetric cylinder (like a thin disk) with its axis vertical.

You can also ask yourself what part of the disk takes part in the experiment. Can you cut bits of it off without affecting the result (for small movements)? What does it look like when you remove everything not taking part?Be sure to understand the subtle difference between an (induced) emf and a voltage.
a) the magnetic field does not change if the magnet rotates, but the conductor rotate so EMF is induced
and I found the answer for a) situation
In b) situation, I think it is so strange because there are no relative movement between conductor and magnetic field.

And if you ask me what part of the disk takes part in the experiment if I remove everything not taking part.
The disk will be like a bar. Because I am not a native speaker, sorry if it makes misunderstanding.
 
Hamal_Arietis said:
In b) situation, I think it is so strange because there are no relative movement between conductor and magnetic field.
What about the wires of the voltmeter probes?
 
  • Like
Likes   Reactions: Hamal_Arietis
TSny said:
What about the wires of the voltmeter probes?
Thank you, I did not concern about the wires.
 
  • Like
Likes   Reactions: TSny

Similar threads

Replies
16
Views
2K
  • · Replies 31 ·
2
Replies
31
Views
3K
Replies
7
Views
3K
  • · Replies 14 ·
Replies
14
Views
6K
Replies
37
Views
7K
  • · Replies 8 ·
Replies
8
Views
4K
  • · Replies 18 ·
Replies
18
Views
4K
  • · Replies 7 ·
Replies
7
Views
2K
  • · Replies 8 ·
Replies
8
Views
2K
  • · Replies 8 ·
Replies
8
Views
3K