Erroneously finding discrepancy in transpose rule

Click For Summary

Discussion Overview

The discussion revolves around the confusion regarding the transpose operation applied to complex numbers and their representation as matrices. Participants explore the implications of treating complex numbers as scalars versus their matrix representations, particularly in the context of isomorphisms and the properties preserved during these transformations.

Discussion Character

  • Exploratory
  • Technical explanation
  • Debate/contested

Main Points Raised

  • One participant notes that the transpose of a scalar, viewed as a one-entry matrix, should remain unchanged, but questions arise when considering complex numbers and their matrix representations.
  • Another participant clarifies that the complex numbers form a field, while the complex plane does not, suggesting that transposition leads to complex conjugation in this context.
  • Several participants express uncertainty about the isomorphism between complex numbers and matrices, indicating that this correspondence may not preserve certain structures, such as transpose.
  • A participant proposes that the conjugation of a complex number corresponds to the transposition of its 2x2 matrix representation, but this claim is met with skepticism regarding the appropriateness of the term "isomorphism."
  • Concerns are raised about the implications of using "isomorphism" when discussing the preservation of operations like transpose, with some participants agreeing that this term may not be suitable.
  • One participant acknowledges their misunderstanding regarding isomorphism and its limitations in preserving all structures, particularly in relation to the transpose operation.

Areas of Agreement / Disagreement

Participants express differing views on the nature of the isomorphism between complex numbers and their matrix representations, particularly regarding the preservation of the transpose operation. The discussion remains unresolved, with multiple competing perspectives on the topic.

Contextual Notes

Participants highlight the limitations of their assumptions regarding the structures involved in the isomorphism and the specific operations that may or may not be preserved, particularly in relation to the transpose and conjugation of complex numbers.

nomadreid
Gold Member
Messages
1,776
Reaction score
257
TL;DR
The rule for switching rows and columns to form the transpose of a matrix seems to come up with two different results for a+bi, considered as a scalar or as a matrix. What is my error?
Obviously, there is something elementary I am missing here.

To form the transpose of a matrix, one exchanges rows and columns, so the transpose of a scalar, considered as (or isomorphic to) a one-entry matrix, should stay the same, including if the scalar is a complex number. On the other hand, in the isomorphism between the complex plane and the real plane, a complex number a+bi corresponds to a matrix
1764242329031.webp

in the real plane; taking the transpose we get
1764242378294.webp

which then corresponds to a-bi back in the complex plane.

I am making some elementary error here. What?
 
  • Like
Likes   Reactions: jedishrfu
Physics news on Phys.org
##\mathbb{C}\not\cong\mathbb{R}^2##

The complex numbers are a field; the complex plane is not a field. If you want to identify them, or, as in this case, with a subalgebra of ##\mathbb{R}^4,## you have to decide which properties you want to preserve in this identification. Transposition here becomes complex conjugation.
 
Last edited:
  • Like
Likes   Reactions: jedishrfu, PeroK and nomadreid
Interesting! Thank you very much, fresh_42. I will look further into that.
 
  • Like
Likes   Reactions: jedishrfu
nomadreid said:
TL;DR: The rule for switching rows and columns to form the transpose of a matrix seems to come up with two different results for a+bi, considered as a scalar or as a matrix. What is my error?

Obviously, there is something elementary I am missing here.

To form the transpose of a matrix, one exchanges rows and columns, so the transpose of a scalar, considered as (or isomorphic to) a one-entry matrix, should stay the same, including if the scalar is a complex number. On the other hand, in the isomorphism between the complex plane and the real plane, a complex number a+bi corresponds to a matrix
View attachment 367772
in the real plane; taking the transpose we get
View attachment 367773
which then corresponds to a-bi back in the complex plane.

I am making some elementary error here. What?
What do you mean by a matrix in the real plane? The real plane is not the set of such matrices. More importantly why do you expect this isomorphism (between the complex numbers and the set of such matrices) to respect transpose?
 
  • Like
Likes   Reactions: nomadreid
Thanks very much, martinbn. As fresh_42 pointed out, I was (erroneously) thinking of the real plane along with extra structure, i.e., perhaps as a part of ℝ4, and also as fresh_42 pointed out, there isn't the isomorphism which secondary school introductions to the complex plane give the impression of existing, and any correspondence is going to lose some information (such as transpose).
 
nomadreid said:
Thanks very much, martinbn. As fresh_42 pointed out, I was (erroneously) thinking of the real plane along with extra structure, i.e., perhaps as a part of ℝ4, and also as fresh_42 pointed out, there isn't the isomorphism which secondary school introductions to the complex plane give the impression of existing, and any correspondence is going to lose some information (such as transpose).
But the usual identification of the complex numbers and the real plane sends ##a+bi## to ##(a,b)##. You are looking at something different.
 
  • Like
Likes   Reactions: nomadreid
Again, thanks, martinbn. Indeed. I think you mean I oversimplified or neglected the structures that accompany each.
 
nomadreid said:
TL;DR: The rule for switching rows and columns to form the transpose of a matrix seems to come up with two different results for a+bi, considered as a scalar or as a matrix. What is my error?

Obviously, there is something elementary I am missing here.

To form the transpose of a matrix, one exchanges rows and columns, so the transpose of a scalar, considered as (or isomorphic to) a one-entry matrix, should stay the same, including if the scalar is a complex number. On the other hand, in the isomorphism between the complex plane and the real plane, a complex number a+bi corresponds to a matrix
View attachment 367772
in the real plane; taking the transpose we get
View attachment 367773
which then corresponds to a-bi back in the complex plane.

I am making some elementary error here. What?
There is an isomorphism between the field of complex numbers and a specific set of 2x2 real matrices where a complex number ## a+bi ## is mapped to the 2x2 matrix ## \begin{pmatrix}a&-b\\b&a\end{pmatrix} ##. The conjugation of a complex number corresponds to the transposition of its 2x2 matrix representation.

If you are confused about real numbers, express a real number ## a ## as ## a+0i ##, find its 2x2 matrix representation, and you will see that the matrix is the same as its transposition, as well as the complex number ## a+0i ## is the same as its conjugate.
 
  • Like
Likes   Reactions: nomadreid
Thanks, Gavron. These simple examples are very nice.
 
  • Like
Likes   Reactions: Gavran
  • #10
Gavran said:
The conjugation of a complex number corresponds to the transposition of its 2x2 matrix representation.
So, for example, if we take the Hermitian adjoint (the composition of the complex conjugate and the transpose), I would deduce from your sentence that this would mean that the conjugation of the conjugate of scalar s corresponds to the Hermitian adjoint of its matrix representation; that is, s corresponds to its Hermitian adjoint. But in general the Hermitian adjoint of a scalar equals its complex conjugate. So I am wondering if your choice of the word "isomorphism" for this correspondence was the best one.
 
  • #11
nomadreid said:
So, for example, if we take the Hermitian adjoint (the composition of the complex conjugate and the transpose), I would deduce from your sentence that this would mean that the conjugation of the conjugate of scalar s corresponds to the Hermitian adjoint of its matrix representation; that is, s corresponds to its Hermitian adjoint. But in general the Hermitian adjoint of a scalar equals its complex conjugate. So I am wondering if your choice of the word "isomorphism" for this correspondence was the best one.
The conjugation of a complex number is also a complex number. So the conjugation of a complex number twice corresponds to the transposition of its 2×2 matrix representation twice.
 
  • Like
Likes   Reactions: nomadreid
  • #12
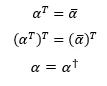
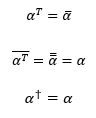
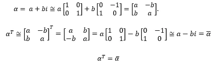
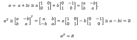
Thanks, Gavran, but apparently I did not express myself very well. Let me try again. First, if I understand your post correctly (but probably I am not), it seems that in Post #8, that you are stating
conjugate and transpose.webp

Then, however, suppose we take the complex conjugate of both sides , then we get
conjugate and transpose 2.webp

where α is the Hermitian adjoint of α.
Alternatively, suppose we take the transpose of the same both sides, then we get
conjugate and transpose 3.webp

The problem is that in general
conjugateand transpose  4.webp

This discrepancy leads me to agree with the earlier answers that one should be careful with the word "isomorphism" here. The correspondence you propose in post #8 does not respect transpose, so the above equations with ≅ would not be correct.

("Would" because I am probably misunderstanding your post. I am happy to be corrected.)
 
  • Like
Likes   Reactions: Gavran
  • #13
nomadreid said:
This discrepancy leads me to agree with the earlier answers that one should be careful with the word "isomorphism" here. The correspondence you propose in post #8 does not respect transpose, so the above equations with ≅ would not be correct.

("Would" because I am probably misunderstanding your post. I am happy to be corrected.)
The transposition of a complex number is the same complex number, and the conjugation of a real matrix is the same real matrix. It is obvious that the transposition of a complex number corresponds to the conjugation of its 2×2 matrix representation.

1765179045517.webp

## \alpha^T\cong\begin{pmatrix}a&-b\\b&a\end{pmatrix}^T ## at the beginning of the second line above does not hold, and ## \alpha^T ## is not equal to ## \bar{\alpha} ##.
 
  • Like
Likes   Reactions: nomadreid
  • #14
Thanks very much, Gavron! I see my error now. I had not rid myself of my prejudice that isomorphism preserved all structures; I understand now that isomorphism only preserves the specific operations that define the structure in question, but that "transpose" is an additional structure. This helps a lot!
 
  • Like
Likes   Reactions: Gavran

Similar threads

  • · Replies 3 ·
Replies
3
Views
2K
  • · Replies 14 ·
Replies
14
Views
3K
  • · Replies 20 ·
Replies
20
Views
4K
  • · Replies 0 ·
Replies
0
Views
3K
  • · Replies 5 ·
Replies
5
Views
3K
  • · Replies 2 ·
Replies
2
Views
3K
  • · Replies 48 ·
2
Replies
48
Views
7K
  • · Replies 1 ·
Replies
1
Views
2K
  • · Replies 8 ·
Replies
8
Views
3K
  • · Replies 4 ·
Replies
4
Views
9K