Factoring Fractions: Simplifying Equations with Cancellation

  • Context: MHB 
  • Thread starter Thread starter mathlearn
  • Start date Start date
Click For Summary

Discussion Overview

The discussion revolves around the process of factoring fractions and simplifying equations through cancellation. Participants explore methods for subtracting and factoring expressions involving π and variables, seeking clarity on the steps involved in the simplification process.

Discussion Character

  • Homework-related
  • Mathematical reasoning
  • Technical explanation

Main Points Raised

  • One participant requests help with a math problem involving subtraction and factoring, specifically asking for a descriptive explanation of the solution.
  • Another suggests getting a common denominator and factoring as a method to approach the problem.
  • A participant provides a detailed factorization of the expression, showing the steps taken to arrive at the solution.
  • Subsequent posts seek clarification on specific steps in the provided solution, particularly regarding the introduction of the factor of 3.
  • One participant lists laws of multiplication and division that they are using to justify their steps in the simplification process.
  • A later reply describes the method used as "multiplying and dividing by the same number" or "cancellation," emphasizing that it is simpler than the quadratic formula.

Areas of Agreement / Disagreement

Participants express varying levels of understanding and seek clarification on specific steps, indicating that there is no consensus on the clarity of the solution process. Multiple viewpoints on the methods and explanations remain present.

Contextual Notes

Some participants express confusion over specific transitions in the solution, highlighting potential gaps in understanding the reasoning behind each step. The discussion does not resolve these uncertainties.

Who May Find This Useful

Readers interested in mathematical problem-solving, particularly in the context of factoring and simplifying expressions, may find this discussion beneficial.

mathlearn
Messages
331
Reaction score
0
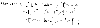
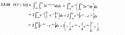
Hi , So far I am stuck in this math problem and

View attachment 5779 MINUS (-) View attachment 5780

Subtract the first sum with pie from the second sum and you should factor it such that the a similar out come in the below given image.


Can anyone subtract and factor this for me such that View attachment 5778

and can you explain me how you did this in a little descriptive manner

Many thanks
 

Attachments

  • Capture.PNG
    Capture.PNG
    2.4 KB · Views: 139
  • Capture1.PNG
    Capture1.PNG
    618 bytes · Views: 132
  • Capture2.PNG
    Capture2.PNG
    754 bytes · Views: 122
Last edited:
Mathematics news on Phys.org
Get a common denominator and then factor.
 
I'm sorry would you be kind enough to demonstrate please!
 
$$\pi a^2h-\frac23\pi a^3=\frac{\pi a^2}{3}\cdot3h-\frac{\pi a^2}{3}{2a}=\frac{\pi a^2}{3}(3h-2a).$$
 
Thank you , can you explain a little bit on how did you solved this problem.

Many Thanks
 
mathlearn said:
can you explain a little bit on how did you solved this problem.
If you are asking how one comes up with the exact sequence of expressions $E_1,\dots,E_n$ such that $\pi a^2h-\dfrac23\pi a^3=E_1\dots=E_n=\dfrac{\pi a^2}{3}(3h-2a)$, it becomes quite obvious after some practice. If you are asking about a specific equality or transition that you don't understand in my solution, please say which one.
 
Where did /3 come from in the second step & can you explain a little step by step in doing this
 
I am using the following laws:
\begin{align}
&(1)\quad x\cdot1=x\\
&(2)\quad\dfrac{3}{3}=1\\
&(3)\quad x\dfrac{y}{z}=\dfrac{xy}{z}\\
&(4)\quad xy=yx\\
&(5)\quad (xy)z=x(yz).
\end{align}

So
\[
\pi a^2h\overset{(1)}{=}\pi a^2h\cdot1\overset{(2)}{=}\pi a^2h\cdot\dfrac33\overset{(3)}{=}\frac{\pi a^2h\cdot3}{3}\overset{(4,5)}{=}\frac{(\pi a^2)(3h)}{3}
\overset{(3)}{=}\frac{\pi a^2h}{3}\cdot 3h.
\]
 
Many thanks,
Can I know the name of the method you used to solve this
for example like quadratic equations or so
 
  • #10
As I said, this is much easier than the quadratic formula and becomes obvious after some practice. The transformations used here can be called "multiplying and dividing by the same number" or "cancellation" (3 in the numerator cancels with 3 in the denominator).

It may be good to get a cheat sheet of laws of fractions, such as this one.
 

Similar threads

  • · Replies 9 ·
Replies
9
Views
4K
  • · Replies 8 ·
Replies
8
Views
2K
  • · Replies 1 ·
Replies
1
Views
2K
Replies
2
Views
1K
  • · Replies 10 ·
Replies
10
Views
3K
  • · Replies 7 ·
Replies
7
Views
2K
  • · Replies 5 ·
Replies
5
Views
3K
  • · Replies 10 ·
Replies
10
Views
3K
  • · Replies 1 ·
Replies
1
Views
2K
  • · Replies 12 ·
Replies
12
Views
5K