Finding the Equation of a Circle Given the Diameter Coordinates

  • Context: MHB 
  • Thread starter Thread starter mathdad
  • Start date Start date
  • Tags Tags
    Circle
Click For Summary

Discussion Overview

The discussion revolves around finding the equation of a circle given the coordinates of its diameter endpoints, specifically points P(1, -3) and Q(-5, -5). Participants explore the mathematical steps necessary to derive the circle's equation in standard form, including determining the center and radius based on the given points.

Discussion Character

  • Technical explanation
  • Mathematical reasoning
  • Debate/contested

Main Points Raised

  • One participant suggests finding the radius by calculating the distance between points P and Q and dividing by 2, while also indicating the need to find the midpoint for the center of the circle.
  • Another participant corrects the first by emphasizing that the midpoint is (3, 1) and calculates the radius as 2√10, based on the distance from the midpoint to either endpoint.
  • Several participants reiterate the equation format as (x - h)² + (y - k)² = r², with h and k representing the center coordinates.
  • One participant proposes an alternative equation, (x + 2)² + (y + 4)² = 10, claiming a different center and radius, which leads to further questioning of the midpoint and radius values.
  • Another participant confirms the midpoint calculation as (-2, -4) and the radius as √10, providing a detailed derivation of these values and the resulting equation.

Areas of Agreement / Disagreement

Participants express disagreement regarding the correct midpoint and radius values, with some asserting that the midpoint is (3, 1) and others claiming it is (-2, -4). The discussion remains unresolved as multiple competing views persist regarding the correct equation of the circle.

Contextual Notes

There are limitations in the assumptions made about the midpoint and radius calculations, as well as the potential for misinterpretation of the endpoints' roles in determining the circle's properties. The discussion reflects differing interpretations of the mathematical steps involved.

mathdad
Messages
1,280
Reaction score
0
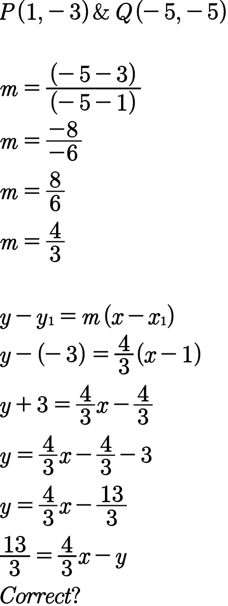
Determine the equation of the circle in standard form, given the coordinate of the diameter PQ.

P(1, -3) and Q(-5, -5)

View attachment 7471
 

Attachments

  • MathMagic171103_3.png
    MathMagic171103_3.png
    13.2 KB · Views: 142
Last edited by a moderator:
Mathematics news on Phys.org
You are asked to find the equation of a circle with diameter $\overline{PQ}$. To do that, find the distance between $P$ and $Q$ and divide that result by 2 - that will give you the radius of the circle. To find the center, find the midpoint of $\overline{PQ}$ - that's the $x$ and $y$ coordinates of the center. Does that make sense?

Standard form is $(x-h)^2+(y-k)^2=r^2$, where $h,k$ are the $x$ and $y$ coordinates of the circle's center and $r$ is the radius.
 
Seriously? You were asked to find the equation of the circle having those two points as endpoints of a diameter. Instead, you found the equation of the line though those points!

The two points you are given are (1, -3) and (-5, -5). The midpoint of that segment is ((1-(-5))/2, ((-3-(-5))/2)= (3, 1). That is the center of the circle. The radius of the circle is the distance from either (1, -3) or (-5, -5) to (3, 1) or, equivalently, half the distance from (1, -3) to (-5, -5), [tex]\sqrt{(1- (-5))^2+ (-3-(-5))^2}= \sqrt{40}= 2\sqrt{10}[/tex].
 
We want an equation in the form (x - h)^2 + (y - k)^2 = r^2.

Yes?
 
r = 2•sqrt{10}

Midpoint = (3,1)

(x - h)^2 + (y - k)^2 = r^2.

Let h = 3

Let k = 1

(x - 3)^2 + (y - 1)^2 = [2•sqrt{10}]^2

(x- 3)^2 + (y - 1)^2 = 4•10

(x - 3)^2 + (y - 1)^2 = 40
 
RTCNTC said:
r = 2•sqrt{10}

Midpoint = (3,1)

(x - h)^2 + (y - k)^2 = r^2.

Let h = 3

Let k = 1

(x - 3)^2 + (y - 1)^2 = [2•sqrt{10}]^2

(x- 3)^2 + (y - 1)^2 = 4•10

(x - 3)^2 + (y - 1)^2 = 40

try again ...

$(x+2)^2+(y+4)^2=10$
 
skeeter said:
try again ...

$(x+2)^2+(y+4)^2=10$

Are you saying that the midpoint is not (3, 1)?

Are you saying that r does not equal 2•sqrt{10}?
 
RTCNTC said:
Are you saying that the midpoint is not (3, 1)?

Are you saying that r does not equal 2•sqrt{10}?

that’s what my equation says ...

center $(-2,-4)$, radius $r = \sqrt{10}$

recommend you graph your equation and mine using the desmos app to verify ...
 
RTCNTC said:
Determine the equation of the circle in standard form, given the coordinate of the diameter PQ.

P(1, -3) and Q(-5, -5)

Center of the circle is the midpoint of $\overline{PQ}$:

$$(h,k)=\left(\frac{(1)+(-5)}{2},\frac{(-3)+(-5)}{2}\right)=(-2,-4)$$

Radius of the circle is 1/2 of the diameter (the length of $\overline{PQ}$ or the distance from $P$ to $Q$):

$$r=\frac{1}{2}\sqrt{((1)-(-5))^2+((-3)-(-5))^2}=\frac{1}{2}\sqrt{6^2+2^2}=\frac{1}{2}\sqrt{40}=\sqrt{10}$$

Thus, the equation of the circle is:

$$(x-(-2))^2+(y-(-4))^2=(\sqrt{10})^2$$

or:

$$(x+2)^2+(y+4)^2=10$$

View attachment 7486
 

Attachments

  • rtcntc_circle_3.png
    rtcntc_circle_3.png
    14.1 KB · Views: 127
  • #10
MarkFL said:
Center of the circle is the midpoint of $\overline{PQ}$:

$$(h,k)=\left(\frac{(1)+(-5)}{2},\frac{(-3)+(-5)}{2}\right)=(-2,-4)$$

Radius of the circle is 1/2 of the diameter (the length of $\overline{PQ}$ or the distance from $P$ to $Q$):

$$r=\frac{1}{2}\sqrt{((1)-(-5))^2+((-3)-(-5))^2}=\frac{1}{2}\sqrt{6^2+2^2}=\frac{1}{2}\sqrt{40}=\sqrt{10}$$

Thus, the equation of the circle is:

$$(x-(-2))^2+(y-(-4))^2=(\sqrt{10})^2$$

or:

$$(x+2)^2+(y+4)^2=10$$

Great job as always.
 

Similar threads

Replies
8
Views
2K
  • · Replies 2 ·
Replies
2
Views
2K
  • · Replies 3 ·
Replies
3
Views
2K
  • · Replies 3 ·
Replies
3
Views
2K
  • · Replies 2 ·
Replies
2
Views
2K
  • · Replies 8 ·
Replies
8
Views
2K
Replies
6
Views
2K
  • · Replies 4 ·
Replies
4
Views
2K
  • · Replies 4 ·
Replies
4
Views
2K
  • · Replies 4 ·
Replies
4
Views
2K