Raydmajeed
- 1
- 0
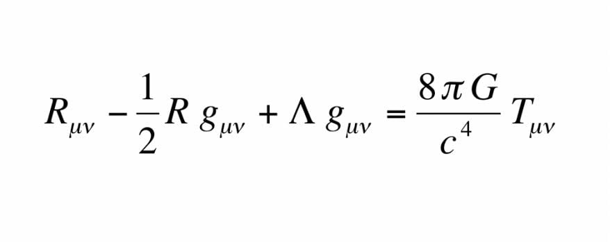
- Homework Statement
- Please help how I could calculate the gravitational potential energy from Einstein field equations
- Relevant Equations
- Einstein field equations
The discussion centers on the definition of gravitational potential energy as derived from Einstein's field equations. Gravitational potential energy is defined as the work done against gravitational forces to move an object to a specific point in a gravitational field. The forum emphasizes the importance of understanding the mathematical formulation of gravitational potential energy in the context of general relativity, particularly how it relates to spacetime curvature and mass-energy equivalence. Participants highlight the need for clarity in distinguishing between classical and relativistic interpretations of gravitational potential energy.
PREREQUISITESPhysics students, researchers in theoretical physics, and anyone interested in the applications of general relativity in understanding gravitational phenomena.
