Group extensions (question about definitions)

  • Context: Undergrad 
  • Thread starter Thread starter Korybut
  • Start date Start date
  • Tags Tags
    Definition Group
Click For Summary
SUMMARY

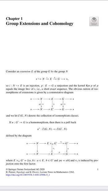
The discussion centers on the definition and properties of group extensions, specifically the notation ##\mathcal{E}(G,N)##. The user seeks clarification on whether all extensions are isomorphic or diffeomorphic and requests an explanation of the pullback ##u^*## in the context of a morphism ##u:G' \rightarrow G##. Additionally, the user is looking for beginner-friendly resources to better understand these concepts.

PREREQUISITES
  • Understanding of group theory and its terminology
  • Familiarity with the concept of group extensions
  • Basic knowledge of morphisms in algebraic structures
  • Introduction to differential geometry for diffeomorphic concepts
NEXT STEPS
  • Research the properties of group extensions in algebraic topology
  • Study the concept of pullbacks in category theory
  • Explore introductory texts on group theory and extensions
  • Learn about diffeomorphisms and their applications in differential geometry
USEFUL FOR

Mathematicians, students of algebra, and anyone interested in the foundational concepts of group theory and extensions.

Korybut
Messages
74
Reaction score
4
TL;DR
Definition question
Hello!

I would like to be sure about my understanding of the definition provided in screenshot below

?hash=9ed08cdafeb4fe3619693b2d5cc5441b.jpg


1. What is this ##\mathcal{E}(G,N)##? I know that not all extension are isomorphic so I wonder What are the elements of ##\mathcal{E}## groups? Or maybe all Es diffeomorphic to each other. Don't know...

2. Please explain how ##u^*## is the pullback of ##u:G^\prime \rightarrow G##

3. Very new to the subject so I would be grateful if someone recommends nice manual explainig basics.

Many thanks in advance
 

Attachments

  • K1.jpg
    K1.jpg
    19.7 KB · Views: 89

Similar threads

  • · Replies 26 ·
Replies
26
Views
2K
  • · Replies 7 ·
Replies
7
Views
3K
  • · Replies 1 ·
Replies
1
Views
1K
  • · Replies 13 ·
Replies
13
Views
2K
  • · Replies 13 ·
Replies
13
Views
3K
  • · Replies 14 ·
Replies
14
Views
4K
  • · Replies 3 ·
Replies
3
Views
2K
  • · Replies 9 ·
Replies
9
Views
4K
  • · Replies 27 ·
Replies
27
Views
4K
  • · Replies 0 ·
Replies
0
Views
3K