Integrating Swallowtail Catastrophe Theory & Population Dynamic Equation

  • Context: Graduate 
  • Thread starter Thread starter zhouyang
  • Start date Start date
  • Tags Tags
    Theory
Click For Summary

Discussion Overview

The discussion revolves around integrating Swallowtail catastrophe theory with population dynamic equations. Participants explore the theoretical aspects of catastrophe theory and its application to differential equations related to population dynamics.

Discussion Character

  • Exploratory
  • Technical explanation
  • Homework-related

Main Points Raised

  • One participant seeks assistance in integrating Swallowtail catastrophe theory into a population dynamic equation and requests resources on both topics.
  • Another participant asks for the specific differential equation to better understand the integration challenge.
  • A participant suggests reviewing the canonical version of the swallowtail equation and notes differences between the participant's equation and the canonical form, particularly regarding the presence of a cubic term.
  • There is a recommendation to first understand the canonical cusp catastrophe equation before attempting to adapt the participant's equation to the swallowtail form.
  • One participant expresses the time commitment required to fully investigate the proposed equation and encourages the original poster to study the cusp catastrophe in the meantime.

Areas of Agreement / Disagreement

Participants generally agree on the importance of understanding canonical forms of catastrophe theory before attempting integration, but there is no consensus on the specifics of how to adapt the original equation or the implications of its differences from canonical forms.

Contextual Notes

The discussion highlights the complexity of adapting the participant's equation to fit canonical forms, with mentions of additional parameters and the need for simplification or constraints, which remain unresolved.

Who May Find This Useful

Individuals interested in catastrophe theory, differential equations, and their applications in population dynamics may find this discussion relevant.

zhouyang
Messages
4
Reaction score
0
Hi all,
I am new to this forum. I am requesting all, please if you can help me. I want to integrate the Swallowtail catastrophe theory into the population dynemic equation. Anybody who knows about swallowtail catastrophe theory as well as population dynemic equation, please reply me. Or if anybody knows about web resources on these topics please send me.
Thanks!
 
Physics news on Phys.org
Can you post your particular DE?
 
yes,
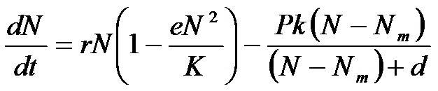
i attached it as jpeg file
Thanks
 

Attachments

  • PDE.jpg
    PDE.jpg
    11.5 KB · Views: 548
Ok. Looks interesting but unfortunately I don't have time right now to work with it. May I suggest taking a look at "An Introductioon to Catastrophe Theory" by Saunders and try and adapt your equation to the canonical version of the swallowtail:

[tex]\frac{dx}{dt}=5x^4+3ux^2+2vx+w[/tex]

I did notice when you put yours over a common denominator, the numerator is a quartic but it includes a cubic term which the canonical swallowtail does not include. Not sure how that would effect the bifurcation set. So the general procedure is to then take the derivative of the RHS, then set the RHS and it's derivative to zero and then eliminate x from these two expressions. This then gives an implicit equation in u, v, and w. That surface is the swallowtail bifurcation set. However, your equation has more than three parameters. Not sure about this also but I would start by trying to fit your equation to the canonical version even if I have to simplify it or constrain it.
 
Dear jackmell,

Thank you very much. I will go through it. I got the said book from google, but it has only 23 pages. Anyway I would find some other notes, and try it. Your instructions really help me and I hope, if you could do it please post.
Cheers!
 
Ok, your equation will take quite a bit of time to fully investigate. The best approach is to first spend some time with the canonical cusp catastrophe:

[tex]\frac{dx}{dt}=4x^3+2ux+v[/tex]

get that one conceptually straight, then spend time with the canonical swallowtail, then adapt your equation to "fit" the canonical form. I' talkin' weeks for that but it's a very interesting field for me, answers many questions about the world in my opinion, and maybe when I'm done with some work I'm working on now, I'll go back and spend some time with your equation but don't wait for me. You try doing this now: just put up your equation for now, and just study the cusp.
 
Dear jackmell,

Thank you very much!
 

Similar threads

  • · Replies 25 ·
Replies
25
Views
4K
  • · Replies 8 ·
Replies
8
Views
8K
  • · Replies 5 ·
Replies
5
Views
4K
Replies
20
Views
3K
  • · Replies 1 ·
Replies
1
Views
3K
Replies
8
Views
3K
  • · Replies 26 ·
Replies
26
Views
5K
  • · Replies 5 ·
Replies
5
Views
3K
  • · Replies 5 ·
Replies
5
Views
2K
  • · Replies 6 ·
Replies
6
Views
2K