Is .999 Repeating Equal to 1?: The Proof Behind the Infamous Debate

  • Thread starter Thread starter rxh140630
  • Start date Start date
Click For Summary

Homework Help Overview

The discussion revolves around the mathematical concept of whether the repeating decimal .999... is equal to the number 1. Participants explore definitions, proofs, and the implications of infinity in this context.

Discussion Character

  • Exploratory, Conceptual clarification, Mathematical reasoning, Assumption checking

Approaches and Questions Raised

  • Some participants attempt to define .999... using decimal expansions and limits, while others question the necessity of defining infinity in the proof process. Various methods, including proof by contradiction and geometric series, are suggested as potential approaches.

Discussion Status

The discussion is active, with participants providing insights and references to mathematical concepts like limits and infinite series. There is a recognition of the need for formal definitions and clarity in understanding the relationship between .999... and 1, but no consensus has been reached.

Contextual Notes

Some participants express uncertainty about the concept of infinity and its role in defining repeating decimals. There are references to external resources, such as calculus textbooks, which may provide further clarification on limits and sequences.

rxh140630
Messages
60
Reaction score
11
Homework Statement
Prove .999 repeating = 1
Relevant Equations
.999 repeated = 1
Let there be a number .999 repeated m times where m is a natural number, which is the smallest number less than 1.

Since there is a number .999 + .0000 with a 9 in the m+1 position, it that follows the number of the form .9999, with an infinite amount of 9's, is bigger. Since infinity doesn't end, there is no finite number of the form .9999 with x 9's, x being a natural number, that is less than 1.

Since the number of the form .999 with 9's repeating x amount of times, x being a natural number, is not less than 1, but it's not greater than 1 either, it must be 1.
 
Last edited:
Physics news on Phys.org
That isn't really a proof. Try working from whatever definition of a decimal expansion you're using, which should be something like ##0.\overline{9}=0.9+0.09+\ldots## or ##0.\overline{9}=\lim_{n\to\infty}0.9...9## (where there are ##n## nines on the RHS). If you know about geometric series (and even if not!), you should be able to evaluate this.
 
  • Like
Likes   Reactions: scottdave, Adesh and Delta2
Infrared said:
That isn't really a proof. Try working from whatever definition of a decimal expansion you're using, which should be something like ##0.\overline{9}=0.9+0.09+\ldots## or ##0.\overline{9}=\lim_{n\to\infty}0.9...9## (where there are ##n## nines on the RHS). If you know about geometric series (and even if not!), you should be able to evaluate this.

I don't see how this can be done without assuming that there is a thing such as infinity. Like, I don't know what infinity is.
 
You mentioned in your other thread that you are reading Apostol's calculus book. I'm sure it has a good account of limits. You don't need a concept of "infinity" to define limits.
 
Infrared said:
You mentioned in your other thread that you are reading Apostol's calculus book. I'm sure it has a good account of limits. You don't need a concept of "infinity" to define limits.

It does, I read it before, but I'm trying to do this from memory. I'm working on this right now, and I'll report back tomorrow. Hopefully I don't have to go back and read the book again.
 
rxh140630 said:
Homework Statement:: Prove .999 repeating = 1
Relevant Equations:: .999 repeated = 1

Let there be a number .999 repeated m times where m is a natural number, which is the smallest number less than 1.

Since there is a number .999 + .0000 with a 9 in the m+1 position, it that follows the number of the form .9999, with an infinite amount of 9's, is bigger. Since infinity doesn't end, there is no finite number of the form .9999 with x 9's, x being a natural number, that is less than 1.

Since the number of the form .999 with 9's repeating x amount of times, x being a natural number, is not less than 1, but it's not greater than 1 either, it must be 1.
Your way of thinking is correct, but I want to show you how to find the fraction that is equal to an infinitely repeating decimal number.
Let be N= 0. abcabcabc... 3 dgits repeating here. Multiply it by 10^3 , and subtract : N
1000N -N =abc.abcabc... -0.abcabc = abc.0
999N= abc, so N= abc/999
You can do the same with any length of repeating period.
 
  • Like
  • Informative
Likes   Reactions: scottdave, atyy, jack action and 3 others
Thanks. So x = .99... n times where n approaches infinity
10x = 9.99999999 n times

10x-x = 9
9x=9

x=1 = .999... n times

I guess that's simple enough but I really like proof by contradiction and wish I could have done it that way : ( Re-reading my OP it wasn't really that coherent anyways. Just got to keep on grinding and keep doing problems/reading and understanding and hopefully I can get this math stuff down. Hope to be a regular in this community from here on.
 
  • Like
Likes   Reactions: Delta2
rxh140630 said:
Thanks. So x = .99... n times where n approaches infinity
10x = 9.99999999 n times

10x-x = 9
9x=9

x=1 = .999... n times

I guess that's simple enough but I really like proof by contradiction and wish I could have done it that way : ( Re-reading my OP it wasn't really that coherent anyways. Just got to keep on grinding and keep doing problems/reading and understanding and hopefully I can get this math stuff down. Hope to be a regular in this community from here on.
If you want a formal proof, you first need a formal definition of what ##0.999 \dots## actually means mathematically.
 
  • Like
Likes   Reactions: Stephen Tashi
PeroK said:
If you want a formal proof, you first need a formal definition of what ##0.999 \dots## actually means mathematically.

And wouldn't that require defining infinity as something that actually exists? I don't see how you could do this without circular logic.
 
  • #10
No, see my post 2. If you know about limits, you can define ##0.999...## as the infinite sum ##\sum_{n=1}^\infty \frac{9}{10^n}.##
 
  • Informative
  • Like
Likes   Reactions: dRic2 and jack action
  • #11
rxh140630 said:
And wouldn't that require defining infinity as something that actually exists? I don't see how you could do this without circular logic.
If you can't define ##0.999 \dots##, then you can't do anything with it.

Have you studied infinite sequences and series?
 
  • #12
Infrared said:
No, see my post 2. If you know about limits, you can define ##0.999...## as the infinite sum ##\sum_{n=1}^\infty \frac{9}{10^n}.##

You can define .999 repeating infinite may times, by defining it as an infinite sum? That still requires infinity to be defined
 
  • #13
No it doesn't. The statement "##\lim_{n\to\infty}a_n=a##" means: for every ##\varepsilon>0##, there exists a natural number ##N## such that if ##n>N##, then ##|a_n-a|<\varepsilon.## I don't need a concept of infinity.

And the infinite sum ##\sum_{n=1}^\infty\frac{9}{10^n}## just means ##\lim_{m\to\infty}\sum_{n=1}^m\frac{9}{10^n}.##
 
  • Like
Likes   Reactions: JD_PM, dRic2, jbriggs444 and 2 others
  • #14
rxh140630 said:
You can define .999 repeating infinite may times, by defining it as an infinite sum? That still requires infinity to be defined
If you look at the definition of a infinite sequence or series, it does not require a definition of "infinity". A sequence, for example, is a function on the natural numbers ##\mathbb{N}##.

PS @Infrared is doing all the work for you here. If you are not prepared to go to your calculus book and learn the formal definition of limits, sequences and series, then we can't help you very much.
 
  • Like
Likes   Reactions: rxh140630
  • #15
Gotcha. I guess I'm going to go back to the book to really make sure I understand everything. Thanks infrared.
 
  • Like
Likes   Reactions: Infrared
  • #16
rxh140630 said:
Thanks. So x = .99... n times where n approaches infinity
Do not say "n times". it is 0.9999999 ... extending forever.
When you learned about decimal numbers, you used the term "infinite".pi, for example, when written out, is an infinite decimal number. When the decimal number consists of repeating units, repeating forever, it is a rational number, and can be written as a fraction. Otherwise, when the decimal number does not terminate or does not have a forever repeating section, it is an irrational number.
https://en.wikipedia.org/wiki/Repeating_decimal
 
  • Like
Likes   Reactions: Delta2
  • #17
Informally, you can think of the "=" sign as a game. Let's say you give me two numbers ##a## and ##b##, and we want to check whether they're equal. If and only if I cannot find another number between ##a## and ##b##, then ##a## and ##b## are equal.

In the case of ##a = 9.\dot{9}## and ##b=10##, whatever guess I make for a number closer to ##10## you can always refute by writing down a bunch more ##9##'s. So since I can't find a number between them, they're equal.

It's not a proof, but a little bit of intuition :wink:
 
  • Like
Likes   Reactions: Delta2
  • #18
Suppose there is a definite difference between .99999... and 1. How much is the difference? You can logically get to a contradiction long before you have to use infinite '9's. So a "proof by contradiction" does not need to use infinity; it just needs to use enough '9's to get a contradiction. The availability of enough '9's is guaranteed by the infinity.
 
  • Like
Likes   Reactions: WWGD
  • #19
Infrared said:
No it doesn't. The statement "##\lim_{n\to\infty}a_n=a##" means: for every ##\varepsilon>0##, there exists a natural number ##N## such that if ##n>N##, then ##|a_n-a|<\varepsilon.## I don't need a concept of infinity.

And the infinite sum ##\sum_{n=1}^\infty\frac{9}{10^n}## just means ##\lim_{m\to\infty}\sum_{n=1}^m\frac{9}{10^n}.##
Note that the ##\infty## that appears in that ##\lim_{m \to \infty}## syntax does not literally mean "infinity". It is a syntactic placeholder. Instead of reading it as "as m approaches infinity", you could do as my calculus instructor suggested and read it as "as m increases without bound".

Then all you need is the idea that there is this set of things called natural numbers and that they have an order. The question of whether the set has infinitely many members does not arise in the definition of the limit.
 
Last edited:
  • Like
Likes   Reactions: Infrared
  • #20
The open interval (0, 1), i.e. the interval from 0 to 1 not including the endpoints, and the closed interval [0, 1], i.e. the interval from 0 to 1 including the endpoints, by definition have equal diameter.

Although the closed interval includes the 2 endpoints that are not included in the open interval, the 2 endpoints, like all the other points on the number line, by definition have a length of 0, so their inclusion or exclusion does not affect the diameter.

We can thus say that by definition 0.999... = 1, just as the half-open interval (0, 1] by definition has a diameter of 1.
 
  • #21
sysprog said:
The open interval (0, 1), i.e. the interval from 0 to 1 not including the endpoints, and the closed interval [0, 1], i.e. the interval from 0 to 1 including the endpoints, by definition have equal diameter.

Although the closed interval includes the 2 endpoints that are not included in the open interval, the 2 endpoints, like all the other points on the number line, by definition have a length of 0, so their inclusion or exclusion does not affect the diameter.

We can thus say that by definition 0.999... = 1, just as the half-open interval (0, 1] by definition has a diameter of 1.
The usual definitions for decimal notation do not mention anything about "diameter".

Instead, one might start by defining the real numbers as equivalence classes of Cauchy sequences of rationals and decimal strings as identifying specific Cauchy sequences that may be taken as exemplars of equivalence classes. Then a decimal string is defined to denote the real number of which its sequence is an exemplar. Two decimal strings are "equal" if they are both exemplars of the same equivalence class.

There are other ways to proceed. But when arguing that something is true "by definition", it is good to be able to state the definition that one is using.
 
Last edited:
  • #22
I like @Infrared approch, but I was wondering if this could be considered a prof:

1) ##0. \bar 9 = 3 * 0. \bar 3##
2) ##0. \bar 3 = \frac 1 3##
3) ##0. \bar 9 = 3 * 0. \bar 3= 3 * \frac 1 3 = 1##

The second step is kind of a definition, but it's pretty intuitive. I don't think this is a valid prof, but It was the first thing that came ti my mind.
 
  • #23
dRic2 said:
I like @Infrared approch, but I was wondering if this could be considered a prof:

1) ##0. \bar 9 = 3 * 0. \bar 3##
2) ##0. \bar 3 = \frac 1 3##
3) ##0. \bar 9 = 3 * 0. \bar 3= 3 * \frac 1 3 = 1##

The second step is kind of a definition, but it's pretty intuitive. I don't think this is a valid prof, but It was the first thing that came ti my mind.
There are a number of good informal proofs like this. Another is ##1 - 0. \bar 9 = 0.\bar 0 = 0##.

But, really, you need the definition as an infinite sum for a formal proof
 
  • Like
Likes   Reactions: jack action and dRic2
  • #24
jbriggs444 said:
The usual definitions for decimal notation do not mention anything about "diameter".

Instead, one might start by defining the real numbers as equivalence classes of Cauchy sequences of rationals and decimal strings as identifying specific Cauchy sequences that may be taken as exemplars of equivalence classes. Then a decimal string is defined to denote the real number of which its sequence is an exemplar. Two decimal strings are "equal" if they are both exemplars of the same equivalence class.
From: https://en.wikipedia.org/wiki/Interval_(mathematics)

Bounded intervals are bounded sets, in the sense that their diameter (which is equal to the absolute difference between the endpoints) is finite. The diameter may be called the length, width, measure, range, or size of the interval.​

Perhaps the term 'diameter' is something you prefer to reserve for the distance of a maximum-length chord across (the Greek prefix 'dia' means across) a circle or sphere; however, a distance across an interval may be viewed in a manner like that of 'across a bridge', i.e. spanning a distance between 2 points, and hence diameter is a legitimate descriptor of an interval distance.
There are other ways to proceed. But when arguing that something is true "by definition", it is good to be able to state the definition that one is using.
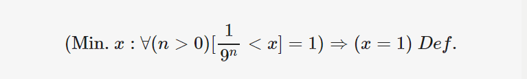
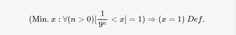
I note that you did not disagree with the contentions regarding the equivalences being in accordance with definitions. There are many workable definitions. One such is: $$(\text{Min.}~ x:\forall(n>0)[\frac 1 {9^n}<x]=1)⇒(x=1)~ Def.$$(equivalent to the Archimedean Property, from Euclid 's Elements Book V definition 4, from Eudoxus' Axiom). I do not prefer such a definition over preservation of the infinitesimal. I think that in ordinary English it is absurd to say that 1 is the least number than which something is infinitesimally less and then to call that something consequently equal to 1; however, we can say that it is so because we define it to be so, and then we can decide elsewhere which to embrace: inconsistency or incompleteness.
 
  • #25
sysprog said:
From: https://en.wikipedia.org/wiki/Interval_(mathematics)

Bounded intervals are bounded sets, in the sense that their diameter (which is equal to the absolute difference between the endpoints) is finite. The diameter may be called the length, width, measure, range, or size of the interval.​

Perhaps the term 'diameter' is something you prefer to reserve for the distance of a maximum-length chord across (the Greek prefix 'dia' means across) a circle or sphere; however, a distance across an interval may be viewed in a manner like that of 'across a bridge', i.e. spanning a distance between 2 points, and hence diameter is a legitimate descriptor of an interval distance.

I note that you did not disagree with the contentions regarding the equivalences being in accordance with definitions. There are many workable definitions. One such is: $$(\text{Min.} x:\forall(n>0)[\frac 1 9^n<x]=1)⇒(x=1) Def.$$(equivalent to the Archimedean Property, from Euclid 's Elements Book V definition 4, from Eudoxus' Axiom). I do not prefer such a definition over preservation of the infinitesimal. I think that in ordinary English it is absurd to say that 1 is the least number than which something is infinitesimally less and then to call that something consequently equal to 1; however, we can say that it is so because we define it to be so, and then we can decide elsewhere which to embrace: inconsistency or incompleteness.
You need a definition of the meaning of a decimal string before you can pontificate on what it is or is not equal to. No amount of careful reasoning about Archimedian properties, measure theory or the like can gain any traction without that.
 
  • #26
PeroK said:
But, really, you need the definition as an infinite sum for a formal proof
If I understand your point, this is necessary to say that ##0.\overline{9}## is a number at all. Other than that, it is possible to prove that ##\forall \epsilon > 0, \exists N \in\mathbb{N}## such that all the numbers with more than N 9s are in the interval (1-##\epsilon##, 1). Proving that would not require an infinite sum.
 
  • #27
jbriggs444 said:
You need a definition of the meaning of a decimal string before you can pontificate on what it is or is not equal to. No amount of careful reasoning about Archimedian properties, measure theory or the like can gain any traction without that.
The ##\LaTeX## expression in my post got mis-rendered, and trying to edit it caused it to not be rendered, so here it is as an image:
1592658495268.png

The "Def." in the expression denotes that it's a definition. I think that I don't need to show a complete definition for all decimal expansions to write a definition by which 0.999... is equal to 1. I think that the definition I provided suffices for the purpose.
 
  • #28
sysprog said:
The ##\LaTeX## expression in my post got mis-rendered, and trying to edit it caused it to not be rendered, so here it is as an image:
View attachment 264947
The "Def." in the expression denotes that it's a definition. I think that I don't need to show a complete definition for all decimal expansions to write a definition by which 0.999... is equal to 1. I think that the definition I provided suffices for the purpose.
I see that definition as claiming that 1 is the smallest real number that is greater than every member of the set {1/9, 1/81, 1/273, ...}. I can come up with a counter-example. What about 0.5?

Presumably you actually wanted to define 0.999... as the least upper bound of the set {0.9, 0.99, 0.999, ...)

Possible definition: The value of a decimal string that extends indefinitely to the right of the decimal point is the least upper bound of the set of values obtained by truncating that string at some finite point.

Now if you want a proof, you need to use the definition in the proof.
 
Last edited:
  • #29
jbriggs444 said:
I see that definition as claiming that 1 is the smallest real number that is greater than every member of the set {1/9, 1/81, 1/273, ...}. I can come up with a counter-example. What about 0.5?

Presumably you actually wanted to define 0.999... as the least upper bound of the set {0.9, 0.99, 0.999, ...)

Possible definition: The value of a decimal string that extends indefinitely to the right of the decimal point is the least upper bound of the set of values obtained by truncating that string at some finite point.

Now if you want a proof, you need to use the definition in the proof.
Thanks, @jbriggs444, I wrote it incorrectly ##-## I'll fix it later.
 
  • Like
Likes   Reactions: jbriggs444
  • #30
sysprog said:
Thanks, @jbriggs444, I wrote it incorrectly ##-## I'll fix it later.
Here's the incorrectly written version: $$(\text{Min.}~ x:\forall(n>0)[\frac 1 {9^n}<x]=1)⇒(x=1)~ Def.$$
##-## and here's the corrected version: $$(\text{Min.}~ x:\forall(n>0)[0.(9)_n<x]=1)⇒(x=1)~ \text{Def.}$$
 
Last edited:

Similar threads

Replies
1
Views
2K
Replies
23
Views
2K
  • · Replies 1 ·
Replies
1
Views
2K
  • · Replies 6 ·
Replies
6
Views
3K
  • · Replies 4 ·
Replies
4
Views
2K
  • · Replies 24 ·
Replies
24
Views
7K
  • · Replies 11 ·
Replies
11
Views
2K
  • · Replies 3 ·
Replies
3
Views
2K
  • · Replies 2 ·
Replies
2
Views
1K
  • · Replies 2 ·
Replies
2
Views
3K