Me soon, mass and spring equation

  • Context: Undergrad 
  • Thread starter Thread starter abbaskhani
  • Start date Start date
  • Tags Tags
    Mass Spring
Click For Summary
SUMMARY

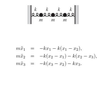
The discussion centers on deriving the equations for a system of three masses and four springs arranged between two walls, specifically focusing on damped oscillations. The user seeks assistance in formulating the ordinary differential equations (ODEs) for this system, which includes damping effects. The recommended approach involves applying a linear damping function, represented as -ν(x_i)', where ν denotes the damping coefficient. This method provides a straightforward solution for incorporating damping into the existing undamped equations.

PREREQUISITES
  • Understanding of ordinary differential equations (ODEs)
  • Familiarity with mass-spring-damper systems
  • Knowledge of damping coefficients and their effects
  • Basic proficiency in mathematical modeling
NEXT STEPS
  • Research linear damping functions in mechanical systems
  • Study the derivation of ODEs for mass-spring systems
  • Explore numerical methods for solving damped ODEs
  • Learn about the impact of different damping coefficients on system behavior
USEFUL FOR

Students and professionals in mechanical engineering, physicists, and anyone involved in modeling dynamic systems with damping effects.

abbaskhani
Messages
2
Reaction score
0
please help me soon, mass and spring equation

hi, sorry for my bad english, i need to three mass and four spring ode equations,
this system: wall -- spring -- mass -- spring -- mass -- spring -- mass -- spring -- wall

but i need this system that has damped, because i have this system equation that undamped,

undamped.jpg


please help me soon, i need damped equation soon, thanks to all :!)
 
Physics news on Phys.org


People cannot read your mind! There are many possible "damping" functions, most often linear or quadratic but can have almost any form. You probably want the simplest, linear, which is of the form [itex]-\nu(x_i)'[/itex] where [itex]\nu[/itex] is the "damping coefficient". Put one of those into each equation.
 
Last edited by a moderator:


thanks
 

Similar threads

  • · Replies 5 ·
Replies
5
Views
2K
  • · Replies 1 ·
Replies
1
Views
1K
  • · Replies 4 ·
Replies
4
Views
1K
Replies
17
Views
2K
  • · Replies 19 ·
Replies
19
Views
4K
  • · Replies 2 ·
Replies
2
Views
3K
  • · Replies 24 ·
Replies
24
Views
2K
  • · Replies 2 ·
Replies
2
Views
2K
  • · Replies 11 ·
Replies
11
Views
4K
  • · Replies 15 ·
Replies
15
Views
3K