Old mathematics fonts, names and availability?

  • Thread starter Thread starter a2009
  • Start date Start date
  • Tags Tags
    Mathematics
Click For Summary
SUMMARY

The discussion centers on the availability and names of old Greek and mathematical symbol fonts used in physics papers from the 1950s and 1960s. Participants express interest in the aesthetic quality of these fonts, particularly referencing works such as "Elementary Statistical Physics" by Kittel and an article by Wigner from 1930. The conversation highlights a desire for examples to better identify these fonts and their characteristics.

PREREQUISITES
  • Familiarity with typography and font design
  • Understanding of mathematical notation and symbols
  • Knowledge of historical physics literature
  • Basic skills in font management software
NEXT STEPS
  • Research historical mathematical fonts used in academic publications
  • Explore font management tools like FontForge or Glyphs
  • Investigate the specific typography used in "Elementary Statistical Physics" by Kittel
  • Look into the design principles of mathematical symbols in early 20th-century publications
USEFUL FOR

Graphic designers, typographers, historians of science, and anyone interested in the aesthetics of mathematical typesetting in historical documents.

a2009
Messages
22
Reaction score
0
This isn't exactly a physics question, but oh well.


I was recently looking through some old physics papers (from 50s and 60s) and really enjoyed the way their equations looked.

Does anyone know if these Greek and mathematical symobl fonts are available?
What are they called?


Thanks
 
Physics news on Phys.org
Would you mind posting some examples so that we may have some sort of reference to go by?
 
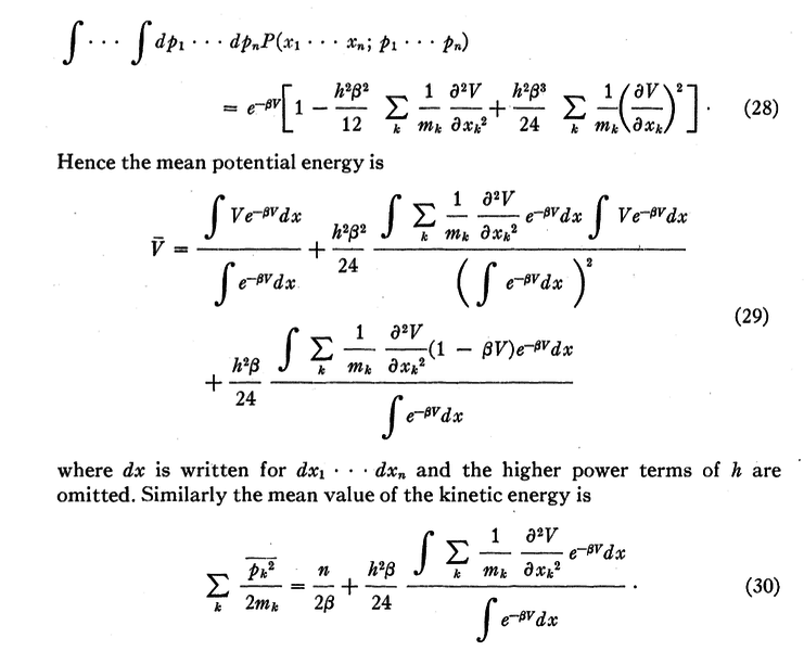
Examples. Page from 1956 Elementary Statistical Physics by Kittel and 1930 Article by Wigner.


The math is really clean.
 

Attachments

  • example.png
    example.png
    32.4 KB · Views: 549
  • example2.png
    example2.png
    30.5 KB · Views: 536

Similar threads

  • · Replies 8 ·
Replies
8
Views
2K
  • · Replies 1 ·
Replies
1
Views
1K
  • · Replies 18 ·
Replies
18
Views
2K
  • · Replies 13 ·
Replies
13
Views
5K
  • · Replies 1 ·
Replies
1
Views
3K
Replies
4
Views
3K
  • Sticky
  • · Replies 16 ·
Replies
16
Views
14K
  • · Replies 3 ·
Replies
3
Views
2K
  • · Replies 2 ·
Replies
2
Views
2K
Replies
5
Views
3K