Parallel vector, I need a bit of explanation

  • Context: Undergrad 
  • Thread starter Thread starter lioric
  • Start date Start date
  • Tags Tags
    Vector
Click For Summary

Discussion Overview

The discussion revolves around understanding the conditions for vector parallelism in the context of a specific problem involving the vectors c = 3i + 4j and d = i - 2j. Participants explore the reasoning behind multiplying components of vectors and clarify the relationship between vector components when determining parallelism.

Discussion Character

  • Conceptual clarification
  • Mathematical reasoning
  • Homework-related

Main Points Raised

  • The original poster (OP) seeks clarification on why the solution involves multiplying the component of vector c with 3, despite the question mentioning 3j.
  • One participant suggests considering the expression for the vector μc + d in terms of i and j to understand parallelism.
  • Another participant states that two vectors ai + bj and ci + dj are parallel if the ratio b/a equals d/c, leading to the conclusion that for parallelism with i + 3j, b must equal 3a.
  • Further clarification is provided that parallel vectors maintain the same direction, implying that they are multiples of each other in terms of their components.
  • The OP expresses satisfaction with the explanation regarding the ratio of components and acknowledges a better understanding of the concept of parallelism.

Areas of Agreement / Disagreement

Participants generally agree on the mathematical relationships that define vector parallelism, but the OP initially expresses confusion about the application of these principles. The discussion reflects a process of clarification rather than a definitive resolution of the OP's initial question.

Contextual Notes

The discussion does not resolve all assumptions regarding the definitions of vector components and their relationships, leaving some aspects of the problem open to interpretation.

Who May Find This Useful

Students and learners interested in vector mathematics, particularly those grappling with concepts of vector parallelism and component relationships in physics or mathematics.

lioric
Messages
335
Reaction score
26
TL;DR
If we are making the vector parallel to i+3j, why do we multiply 3 with the i of the resultant vector ?
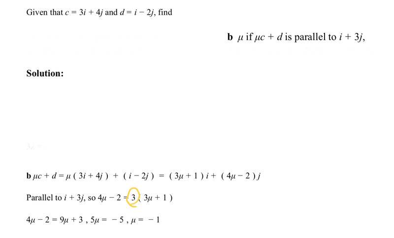
Given that c = 3i + 4j and d = i - 2j, find u if uc + d is parallel to i + 3j,

this is the question

in the solution,
it says that we have to multiply the 3 with the i

i do know that this is the ”method“ to do this question but I’d like a bit of explanatio.
I don’t understand why the 3 is multiplied with the i when in the question it says 3j.

thank you for your time.
 

Attachments

  • 03E66D91-94ED-43E9-8892-99A9ADB34CAE.jpeg
    03E66D91-94ED-43E9-8892-99A9ADB34CAE.jpeg
    15 KB · Views: 152
Last edited:
Physics news on Phys.org
Hint:
What is the vector ## \mu c + d## in terms of i and j? What does it mean for one vector to be parallel to another?

-Dan
 
Last edited by a moderator:
  • Like
Likes   Reactions: DrClaude
The answer the OP, vectors ai + bj and ci + dj will be parallel if b/a = d/c. So vector ai + bj will be parallel to i + 3j if b = 3a. This is where the factor 3 comes from.
 
  • Like
Likes   Reactions: Lnewqban, FactChecker, topsquark and 1 other person
topsquark said:
Hint:
What is the vector ## \mu c + d## in terms of i and j? What does it mean for one vector to be parallel to another?

-Dan
If one vector is parallel that means the direction is the same. In terms of i and j the parallel vectors are always some multiple of the direction
 
Last edited by a moderator:
  • Like
Likes   Reactions: FactChecker
DrClaude said:
The answer the OP, vectors ai + bj and ci + dj will be parallel if b/a = d/c. So vector ai + bj will be parallel to i + 3j if b = 3a. This is where the factor 3 comes from.
This speaks to me a lot. If something is parallel, the ratio of x to y lengths should be the same. Thank you very much. It makes so much more sense now.
I’ll propos this thread solved. Thank you all.
i love the way that you teach stuff
 
  • Like
Likes   Reactions: Lnewqban, FactChecker and DrClaude

Similar threads

  • · Replies 8 ·
Replies
8
Views
5K
  • · Replies 3 ·
Replies
3
Views
7K
  • · Replies 7 ·
Replies
7
Views
2K
  • · Replies 1 ·
Replies
1
Views
3K
  • · Replies 13 ·
Replies
13
Views
5K
  • · Replies 7 ·
Replies
7
Views
2K
Replies
4
Views
3K
Replies
11
Views
5K
  • · Replies 7 ·
Replies
7
Views
3K
  • · Replies 25 ·
Replies
25
Views
4K