Problem with notation of matrix elements

  • Context: Undergrad 
  • Thread starter Thread starter Lambda96
  • Start date Start date
Click For Summary

Discussion Overview

The discussion revolves around understanding the notation used for matrix elements, specifically in the context of the Frobenius product and its properties, such as hermitian symmetry. Participants seek clarification on the meaning of indices in Einstein notation and how they relate to matrix elements.

Discussion Character

  • Conceptual clarification
  • Technical explanation
  • Debate/contested

Main Points Raised

  • One participant expresses confusion regarding the notation ##A_{\quad i}^j## and ##A_i^{\quad j}##, specifically what the spaces represent and how to interpret the row and column indices.
  • Another participant explains that the notation is known as Einstein notation or Einstein summation, commonly used by physicists, and provides a brief description of how it functions in terms of summation over indices.
  • A different participant suggests that encountering unfamiliar notation indicates a potential disconnect between the course syllabus and the material being studied.
  • One participant thanks another for their assistance in clarifying the notation.

Areas of Agreement / Disagreement

Participants do not reach a consensus on the interpretation of the notation, as the discussion includes varying levels of understanding and differing perspectives on the implications of the notation.

Contextual Notes

There is an indication of missing assumptions regarding the participants' familiarity with the notation and its application in the context of their coursework.

Lambda96
Messages
233
Reaction score
77
TL;DR
What does this notation ##A_{\quad i}^j## and ##A_i^{\quad j}## mean?
Hi,

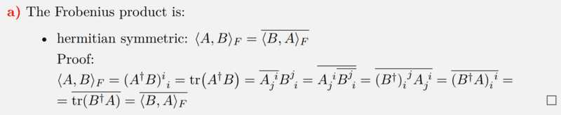
In one of my assignments, we had to prove that the Frobenius product corresponds to a complex scalar product. For one, we had to prove that the Frobenius product is hermitian symmetric.

I have now received the solution to the problem, and unfortunately I do not understand the notation for the individual matrix elements. I only know the notation ##a_{ij}## but what does it mean when one of the indices is written with a space of A or B, what is this space about? What should be the row and what the column in this kind of notation?

Here is the solution

Bildschirmfoto 2023-07-20 um 15.45.35.png
 
Physics news on Phys.org
Lambda96 said:
TL;DR Summary: What does this notation ##A_{\quad i}^j## and ##A_i^{\quad j}## mean?

Hi,

In one of my assignments, we had to prove that the Frobenius product corresponds to a complex scalar product. For one, we had to prove that the Frobenius product is hermitian symmetric.

I have now received the solution to the problem, and unfortunately I do not understand the notation for the individual matrix elements. I only know the notation ##a_{ij}## but what does it mean when one of the indices is written with a space of A or B, what is this space about? What should be the row and what the column in this kind of notation?

Here is the solution

View attachment 329456

It is called Einstein notation or Einstein summation. Physicists use it all the time.
https://en.wikipedia.org/wiki/Einstein_notation

You can deconstruct it by the image you posted.
\begin{align*}
(A^\dagger B)_{ij}&=\sum_{k=1}^n (A^\dagger )_{ik}\cdot B_{kj} =\sum_{k=1}^n (\overline{A_{ki}})\cdot B_{kj}\\
\operatorname{trace}(A^\dagger B)&=\sum_{p=1}^n (A^\dagger B)_{pp}\\
&=\sum_{p=1}^n \left(\sum_{k=1}^n (\overline{A})_{kp}\cdot B_{kp}\right)\\
&=\sum_{j=1}^n \left(\sum_{i=1}^n (\overline{A})_{ij}\cdot B_{ij}\right)\\
&= (\overline{{A_j}^i})\cdot {B^j}_i
\end{align*}

It is an abbreviation for the summation. Summed is over the indices that occur on top and at the bottom, here twice: sum over ##i## and sum over ##j##.
 
  • Like
Likes   Reactions: Lambda96 and PeroK
Lambda96 said:
TL;DR Summary: What does this notation ##A_{\quad i}^j## and ##A_i^{\quad j}## mean?

Hi,

In one of my assignments, we had to prove that the Frobenius product corresponds to a complex scalar product. For one, we had to prove that the Frobenius product is hermitian symmetric.

I have now received the solution to the problem, and unfortunately I do not understand the notation for the individual matrix elements. I only know the notation ##a_{ij}## but what does it mean when one of the indices is written with a space of A or B, what is this space about? What should be the row and what the column in this kind of notation?

Here is the solution

View attachment 329456
If in an assignment you encounter a notation that you have never seen before, then there must be a serious disconnection between your course syllabus and what you are studying.
 
Thanks fresh_42 for your help 👍
 

Similar threads

  • · Replies 7 ·
Replies
7
Views
3K
  • · Replies 12 ·
Replies
12
Views
3K
  • · Replies 15 ·
Replies
15
Views
5K
  • · Replies 3 ·
Replies
3
Views
2K
  • · Replies 4 ·
Replies
4
Views
3K
  • · Replies 4 ·
Replies
4
Views
3K
  • · Replies 1 ·
Replies
1
Views
4K
  • · Replies 2 ·
Replies
2
Views
2K
  • · Replies 5 ·
Replies
5
Views
3K
  • · Replies 3 ·
Replies
3
Views
2K