Proof Using Induction: Discrete Maths Problem Solving

  • Context: MHB 
  • Thread starter Thread starter Ryuna
  • Start date Start date
  • Tags Tags
    Induction Proof
Click For Summary

Discussion Overview

The discussion revolves around solving discrete mathematics problems using mathematical induction. Participants are seeking assistance with specific problems and the methodology of induction proofs.

Discussion Character

  • Homework-related
  • Mathematical reasoning

Main Points Raised

  • One participant requests help with discrete math problems, specifically asking for proofs using induction.
  • Another participant suggests a specific formula involving a summation and proposes that the first step is to verify the base case for n=1.
  • A later reply confirms that the base case is true for n=1 and indicates that the problems are practice questions for an exam, asking for hints on how to proceed with the last problem.
  • Further advice is given to state the induction hypothesis and suggests that using the recursion will be important for the induction step.

Areas of Agreement / Disagreement

Participants generally agree on the steps involved in proving the problem using induction, but the specific problems and methods remain unresolved as participants are still in the process of working through them.

Contextual Notes

There is a mention of a recursion that needs to be expressed in terms of n+1, but the details of this recursion are not fully elaborated, leaving some assumptions and steps unspecified.

Ryuna
Messages
2
Reaction score
0
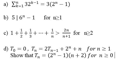
Can someone help me solve the following problems from Discrete Maths, using induction to prove them
View attachment 2554
Thanks in advance
 

Attachments

  • Untitled.png
    Untitled.png
    5.2 KB · Views: 123
Physics news on Phys.org
Hello, and welcome to MHB! :D

In the future, we ask that you post no more than two questions in a thread and that you show what you have tired so we know where you are stuck, and can best help.

I am assuming the first one is instead:

$$\sum_{k=1}^n\left(3\cdot2^{k-1}\right)=3\left(2^n-1\right)$$

The first step is to demonstrate that the base case (for $n=1$) is true. Have you done that?
 
^Right, I'll keep that in mind.

And the case is true for n=1. These are practice questions for my exam and I was looking for key answers to use as indicators. I'll be back after trying more.

could you give me a hint on how to start with the last one?
 
Ryuna said:
...could you give me a hint on how to start with the last one?

Well, after showing the base case is true, you want to state your induction hypothesis. It appears to me that using the given recursion will be key to your induction step. I would write the recursion in terms of $n+1$, and see what can be done with that.
 

Similar threads

  • · Replies 4 ·
Replies
4
Views
4K
  • · Replies 4 ·
Replies
4
Views
2K
  • · Replies 7 ·
Replies
7
Views
3K
  • · Replies 1 ·
Replies
1
Views
1K
  • · Replies 2 ·
Replies
2
Views
2K
  • · Replies 10 ·
Replies
10
Views
2K
  • · Replies 2 ·
Replies
2
Views
2K
  • · Replies 6 ·
Replies
6
Views
2K
  • · Replies 4 ·
Replies
4
Views
3K
  • · Replies 4 ·
Replies
4
Views
2K