Proving Subspace Properties for Sets of Polynomials in P3

  • Context: MHB 
  • Thread starter Thread starter chukkitty
  • Start date Start date
  • Tags Tags
    Subspace
Click For Summary

Discussion Overview

The discussion revolves around determining whether certain sets of polynomials in \( P_3 \) are subspaces. Participants explore the properties required for a set to be a subspace, including the presence of the zero vector, closure under vector addition, and closure under scalar multiplication. The focus is on two specific items related to polynomials of degree less than 3 with real coefficients.

Discussion Character

  • Technical explanation
  • Debate/contested
  • Mathematical reasoning

Main Points Raised

  • Kitty proposes to test the subspace properties by checking if the zero vector is included and if the sets are closed under addition and scalar multiplication.
  • One participant emphasizes that proving the zero vector is in the set is crucial and that closure under addition and scalar multiplication must also be verified.
  • Another participant asserts that item 1 is a subspace because it meets the closure conditions, while questioning the specifications for item 2.
  • Some participants argue that item 1 is not a subspace due to a lack of closure under multiplication by real scalars, suggesting that rational coefficients do not suffice for closure under all scalars.
  • Kitty provides a detailed argument for item 1, including a counter-example involving irrational scalars, and concludes that item 1 is not a subspace while arguing that item 2 is a subspace.

Areas of Agreement / Disagreement

There is disagreement regarding whether item 1 is a subspace, with some participants asserting it is not due to issues with scalar multiplication, while others believe it meets the criteria. Item 2 appears to have more consensus as a subspace, but the discussion remains unresolved on item 1.

Contextual Notes

Participants express uncertainty about the definitions and conditions required for the sets, particularly regarding the implications of using rational versus real coefficients. The discussion highlights the need for clarity in the conditions applied to the polynomials.

chukkitty
Messages
2
Reaction score
0
Hello,

I want ask some subspace problems. Attachment is a question.
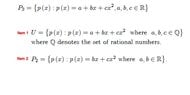
contains all polynomials with degree less than 3 and with real coefficients.

I want prove that item 1 and item 2 are subspace or not.

Am I insert real number to the item 1& 2 equation to test as follows:
(a) 0 ∈ S.
(b) S is closed under vector addition.
(c) S is closed under scalar multiplication.

Would you mind tell me how Determine whether the following sets are subspaces of P3. If it is a subspace, prove it. If it is not a subspace, give a counter-example.

Best Regard
Kitty
 

Attachments

  • subspace.jpg
    subspace.jpg
    14.4 KB · Views: 114
Physics news on Phys.org
Indeed what you have to do is to provide a proof that the sets have the 0, are closed to addition and scalar multiplication.

The important thing, that works for all problems of this type is that, when you have a set $\{ x: C(x) \}$, where $C(x)$ is the condition for the x to belong to the set, to verify that:

1-C(0) is true. This implies that 0 is in the set;
2-If C(x) and C(y) is true (equivalently, if x and y are in the set), then C(x+y) is true. This implies that x+y is in the set;
3- If C(x) is true, then $C(ax)$ is true, where $a$ is a scalar. This implies that $ax$ is in the set.The condition C for the first set in your exercise is a condition on a polinomial p. $C(p)$ is $p=a+bx+cx^2 \wedge a,b,c\in \mathbb{Q}$.

Teach a man how to fish... ;)
 
chukkitty said:
(a) 0 ∈ S.
(b) S is closed under vector addition.
(c) S is closed under scalar multiplication.

In general the first is not needed since it is already covered in the third condition . Since the set of rational numbers is closed under addition and multiplications , item 1 forms a subspace .

For item 2 , I think there is a mistake since you are not specifying what is c ?
 
ZaidAlyafey said:
In general the first is not needed since it is already covered in the third condition . Since the set of rational numbers is closed under addition and multiplications , item 1 forms a subspace .

For item 2 , I think there is a mistake since you are not specifying what is c ?

I think item 1 is not a subspace because it is not closed by multiplication by real scalars.
 
ModusPonens said:
I think item 1 is not a subspace because it is not closed by multiplication by real scalars.

Yup , I missed that . Thanks .
 
ZaidAlyafey said:
In general the first is not needed since it is already covered in the third condition

Not always. Previously we need to prove that $S\neq \emptyset$ (so, the best is to prove $0\in S$).
 
Dear All,

Thank you for your assistance.

I would try to prove two items to belong subspace or not. Because I don't know to write some Maths symbol on internet. So please refer to attachment of my work image.

(ITEM 1) The set contains the zero vector, as a=b=c=0 given p(x)=0+0x+0x².
Let p₁(x)=a₁+b₁x+c₁x² and p₂(x)=a₂+b₂x+c₂x².
Then p₁(x)+p₂(x)=(a₁+a₂)+(b₁+b₂)x+(c₁+c₂)x²
This polynomial has the correct form for a vector in U, so U is closed under vector addition.
Let p(x)=a+bx+cx² and α=ℝ and a,b,c∈ℚ.
Then αp(x)=(αa)+(αb)x+(αc)x²
This vector does not have the correct form for a vector in U if α can be irrational number, so U is not closed under scalar multiplication.
A counter-example: p(x)=(1/7)+(2/(11))x+(5/3)x²
Let α=√(13), then αp(x)=((√(13))/7)+((2√(13))/(11))x+((5√(13))/3)x². Show that the coefficients of x⁰,x¹,x² are not rational number. (ITEM 2) The set contains the zero vector, as b=0 and any c given p(x)=0x+0x².
Let p₁(x)=b₁x+cx² and p₂(x)=b₂x+cx²
p₁(x)+p₂(x)= (b₁+b₂)x+(2c)x², where any c
This polynomial has the correct form for a vector in P₂, so P₂ is closed under vector addition.

Let p(x)=bx+cx² and α=ℝ
Then αp(x)=(αb)x+(αc)x² , where any c
This polynomial has the correct form for a vector in P₂, so P₂ is closed under scalar multiplication.
So P₂ is a subspace of P₃.

Please give me advise.

Thank you very much!

Kitty
 

Attachments

  • subspace-prove.jpg
    subspace-prove.jpg
    50.4 KB · Views: 127

Similar threads

  • · Replies 19 ·
Replies
19
Views
6K
Replies
6
Views
2K
  • · Replies 3 ·
Replies
3
Views
3K
  • · Replies 1 ·
Replies
1
Views
3K
  • · Replies 1 ·
Replies
1
Views
2K
  • · Replies 2 ·
Replies
2
Views
2K
  • · Replies 5 ·
Replies
5
Views
2K
  • · Replies 8 ·
Replies
8
Views
2K
  • · Replies 3 ·
Replies
3
Views
2K
  • · Replies 3 ·
Replies
3
Views
3K