Solve Torque Equation Homework w/ Help & Solution

  • Thread starter Thread starter Orex
  • Start date Start date
  • Tags Tags
    Torque
Click For Summary

Homework Help Overview

The discussion revolves around a torque equation problem related to a plank supported by sawhorses, where participants are attempting to analyze the forces and moments acting on the system. The original poster expresses uncertainty about their previous calculations and seeks clarification on their approach to part B of the problem.

Discussion Character

  • Exploratory, Assumption checking, Problem interpretation

Approaches and Questions Raised

  • Participants discuss the need to choose an appropriate reference point for calculating torque and question the original poster's assumptions regarding the direction of moments. There are attempts to clarify the calculation of torque from the plank's weight and the contributions from the masses involved.

Discussion Status

Some participants have offered guidance on how to approach the torque calculations, suggesting the use of reference points and questioning the assumptions made by the original poster. There is an acknowledgment of the need for further clarification regarding the masses involved, which has led to additional questions about the setup of the problem.

Contextual Notes

There is a noted lack of clarity regarding the masses of A and B, which are essential for resolving the problem. The original poster has mentioned these masses in a later post, indicating that they were not included in the initial problem statement.

Orex
Messages
2
Reaction score
0

Homework Statement


Hello, I attempted solving a problem from my practice sheet, but got stuck on part B. If my part A is incorrect, please let me know!
hmmm.png

WP_20150726_14_09_49_Pro.jpg

Homework Equations


Not sure which equations to use!

The Attempt at a Solution


WP_20150726_14_16_54_Pro.jpg

I don't think the solution is too difficult for part B, but I'm stuck on not knowing if part A is correct, so i cannot move on. Any help, and an attempt at the solution would be appreciated! :)
 
Physics news on Phys.org
The ∑Fy equation looks OK.

For writing the torque equation, you should pick a reference point to use to calculate torque (or moment).

Since the problem wants you to find how far Bob can walk toward the right end of the plank before it starts to tilt, a good choice of reference would be to use the location of the right sawhorse.

When writing moment (torque) equations, it's understood that T = F × d, so go ahead and substitute any actual forces or distances into your moment equation. Terms like "TA" can be confusing, to you and others.
 
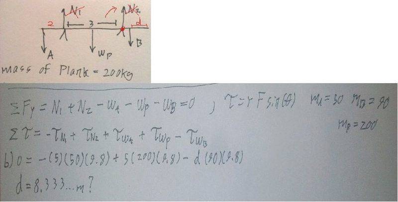
Here is my second attempt. Is my torque equation right?
I know 8.333...m cannot be the right answer, it does not make sense. What am I doing wrong? Any help would be appreciated!
Also Note: I believe the mass of A and B are given, 50kg and 90kg respectively.
WP_20150726_14_16_54_Pro.jpg
 
You are not calculating the torque from the plank's weight correctly. In your equation, you calculate it as though the weight of the 5m section of plank to the left of the right pivot is all applied at A. It is not. You need to work out the torque ##\tau_{left}^{plank}## of the left-side plank's own weight by integrating:

$$\tau_{left}^{plank}=\int_0^5 l\cdot g\cdot \frac{200kg}{9m}dl $$

You then need to do a similar integration to get the opposite torque of the weight of the right-hand section of plank.

Then add in the torques of Anna and Bob.
 
Orex said:
Here is my second attempt. Is my torque equation right?
I know 8.333...m cannot be the right answer, it does not make sense. What am I doing wrong? Any help would be appreciated!
Also Note: I believe the mass of A and B are given, 50kg and 90kg respectively.
View attachment 86484
You calculated the moment due to mass A correctly.

Why did you choose the moment arm of the plank's mass as 5 m from the second sawhorse?

Why did you assume the direction of the moment due to the plank's mass is opposite that of mass A?

Why did you assume the direction of the moment due to mass B was the same direction due to the moment due to mass A? Aren't they acting in opposite directions?

For future problems, assume moments acting counter-clockwise are positive.
 
andrewkirk said:
You are not calculating the torque from the plank's weight correctly. In your equation, you calculate it as though the weight of the 5m section of plank to the left of the right pivot is all applied at A. It is not. You need to work out the torque ##\tau_{left}^{plank}## of the left-side plank's own weight by integrating:

$$\tau_{left}^{plank}=\int_0^5 l\cdot g\cdot \frac{200kg}{9m}dl $$
There's no need to get this complicated.

The plank is uniform, and its center of mass should be easy to find without resorting to integral calculus.
 
SteamKing said:
There's no need to get this complicated.

The plank is uniform, and its center of mass should be easy to find without resorting to integral calculus.
Good point. I hadn't noticed that.
 
Without knowing the mass of A and B or at least the ratio of their masses I don't see how no you can resolve this, sorry I hadn't read steamking's comment before posting
 
Jobrag said:
Without knowing the mass of A and B or at least the ratio of their masses I don't see how no you can resolve this, sorry I hadn't read steamking's comment before posting
Apparently, the OP neglected to mention that MA = 50 kg and MB = 90 kg in the original problem statement. These figures appear in Post #3 in his calculations.
 

Similar threads

  • · Replies 3 ·
Replies
3
Views
1K
  • · Replies 1 ·
Replies
1
Views
2K
  • · Replies 5 ·
Replies
5
Views
3K
  • · Replies 11 ·
Replies
11
Views
2K
  • · Replies 22 ·
Replies
22
Views
3K
  • · Replies 1 ·
Replies
1
Views
3K
  • · Replies 9 ·
Replies
9
Views
2K
Replies
4
Views
2K
Replies
3
Views
2K
  • · Replies 7 ·
Replies
7
Views
3K