Solving Equations in C: What Does It Mean?

  • Context: High School 
  • Thread starter Thread starter FTM1000
  • Start date Start date
Click For Summary

Discussion Overview

The discussion revolves around understanding the phrase "to solve in C" in the context of a homework problem involving equations. Participants explore the implications of solving equations within the field of complex numbers.

Discussion Character

  • Homework-related
  • Conceptual clarification
  • Debate/contested

Main Points Raised

  • Some participants express confusion about what it means to "solve in C," with one suggesting that C refers to the field of complex numbers.
  • Another participant proposes that it means to solve for z, indicating that z is a complex number.
  • There is a suggestion to refer to textbooks for examples of finding complex roots in equations.
  • One participant hints at the possibility of the question being a trick question, mentioning the need to reduce a fraction and referencing the property that i² = -1.

Areas of Agreement / Disagreement

Participants generally agree that C refers to complex numbers, but there is uncertainty about the specific meaning of "to solve in C" and how to approach the problem. The discussion remains unresolved regarding the exact interpretation and methodology.

Contextual Notes

Participants have not reached a consensus on the interpretation of the question, and there are varying levels of understanding about solving equations in the context of complex numbers.

FTM1000
Messages
49
Reaction score
5
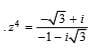
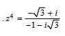
in my homework i got a question that told me to solve the following equation in C
equation.jpg

can someone tell me what is this question? what is it means "to solve in C"? i know(if i am right) that C is the field of complex numbers but i don't really gets what is going on with that question.

i am not asking for a solution at all i just want to know what is it and where i can read about the subject of this question.
 
Mathematics news on Phys.org
FTM1000 said:
in my homework i got a question that told me to solve the following equation in C
equation.jpg

can someone tell me what is this question? what is it means "to solve in C"? i know(if i am right) that C is the field of complex numbers but i don't really gets what is going on with that question.

i am not asking for a solution at all i just want to know what is it and where i can read about the subject of this question.
I'm pretty sure it means to solve for z, with z being a complex number.
 
Mark44 said:
I'm pretty sure it means to solve for z, with z being a complex number.
i just don't understand what it means. can you explain me or show me where i can read about equations like that?
 
FTM1000 said:
i just don't understand what it means. can you explain me or show me where i can read about equations like that?
Your textbook, for starters. Surely they must have an example of finding the complex roots in an equation.
 
... and it is a trick question. See if you can reduce the fraction (remember that i2 = -1).
 

Similar threads

  • · Replies 10 ·
Replies
10
Views
3K
  • · Replies 22 ·
Replies
22
Views
3K
  • · Replies 1 ·
Replies
1
Views
2K
  • · Replies 4 ·
Replies
4
Views
2K
  • · Replies 19 ·
Replies
19
Views
4K
  • · Replies 1 ·
Replies
1
Views
2K
  • · Replies 11 ·
Replies
11
Views
2K
  • · Replies 13 ·
Replies
13
Views
3K
  • · Replies 22 ·
Replies
22
Views
3K
  • · Replies 9 ·
Replies
9
Views
4K