The area of a triangle and determinants

Click For Summary
SUMMARY

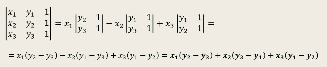
The area of a triangle can be calculated using determinants formed by the triangle's vertices. Specifically, the determinant yields double the area when the triangle is oriented counter-clockwise. If the triangle is oriented clockwise, the result will be the negative of the actual area, explaining the discrepancy in signs noted in the discussion. This relationship is crucial for correctly applying determinants in geometric calculations.

PREREQUISITES
  • Understanding of determinants in linear algebra
  • Familiarity with triangle geometry and area calculation
  • Knowledge of coordinate systems and orientation
  • Basic algebraic manipulation skills
NEXT STEPS
  • Study the properties of determinants in linear algebra
  • Learn how to calculate the area of a triangle using the determinant method
  • Explore the implications of triangle orientation on area calculations
  • Investigate applications of determinants in geometry and physics
USEFUL FOR

Mathematicians, geometry enthusiasts, students studying linear algebra, and anyone interested in the applications of determinants in geometric contexts.

Yankel
Messages
390
Reaction score
0
Dear all,

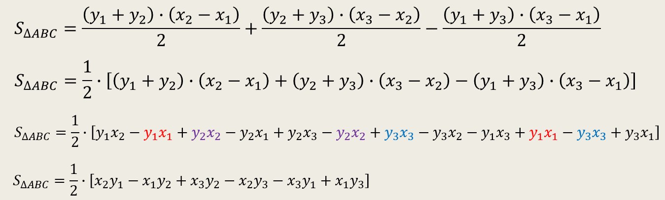
I was trying to prove that the area of a triangle is equal to the determinant consisting of the three points of the triangle. I got to the end, and something ain't working out. The signs are all wrong.

In the attached pictures I include my proof. Can you please tell me how can the two formulas be identical ? The first is the area coming from trapezoid subtraction , while the second is the determinant.

Thank you !

Clarification: when I say signs are opposite, I mean (y2-y3) vs. (y3-y2) , etc...

View attachment 7656

View attachment 7657

View attachment 7658

View attachment 7659
 

Attachments

  • 1.PNG
    1.PNG
    28.4 KB · Views: 137
  • 2.PNG
    2.PNG
    17.7 KB · Views: 147
  • 3.PNG
    3.PNG
    4.9 KB · Views: 134
  • 4.PNG
    4.PNG
    7.1 KB · Views: 143
Physics news on Phys.org
Hi Yankel,

The determinant gives double the area of a triangle that is oriented counter-clockwise.
In your case the triangle is oriented clockwise, meaning that we'll find the opposite.
 

Similar threads

  • · Replies 1 ·
Replies
1
Views
2K
Replies
11
Views
10K
  • · Replies 1 ·
Replies
1
Views
2K
  • · Replies 5 ·
Replies
5
Views
2K
  • · Replies 9 ·
Replies
9
Views
3K
  • · Replies 2 ·
Replies
2
Views
5K
  • · Replies 12 ·
Replies
12
Views
2K
  • · Replies 6 ·
Replies
6
Views
2K
  • · Replies 9 ·
Replies
9
Views
3K
  • · Replies 5 ·
Replies
5
Views
3K