Time Dilation in a Galaxy: Calculating Mass Effects

Click For Summary

Discussion Overview

The discussion revolves around the calculation of gravitational time dilation in the context of galaxies and planets, particularly focusing on the mass considerations necessary for such calculations. Participants explore the implications of mass distribution and shape on time dilation effects, comparing scenarios in galaxies and planets.

Discussion Character

  • Exploratory, Technical explanation, Debate/contested

Main Points Raised

  • Some participants suggest that gravitational time dilation near the edge of a galaxy can be calculated by assuming all mass is concentrated at the center, similar to gravitational force calculations.
  • Others argue that gravitational time dilation across a galaxy is likely negligible, raising questions about the complexity of the problem.
  • One participant questions whether the same mass considerations apply for time dilation as for gravitational force, particularly in the context of a planet.
  • There is a discussion about the applicability of the shell theorem in Newtonian gravity to gravitational time dilation in general relativity, with some asserting that the results differ.
  • Some participants highlight that the calculations for time dilation become complicated when considering mass distribution and other factors, referencing specific literature for further exploration.
  • Concerns are raised about the assumptions made in calculations, particularly regarding the shape of galaxies and the simplifications that may not hold true for disk-shaped galaxies.

Areas of Agreement / Disagreement

Participants express differing views on the applicability of mass considerations for calculating time dilation, with no consensus reached on whether the same principles apply as in gravitational force calculations. The discussion remains unresolved regarding the complexity of time dilation in various contexts.

Contextual Notes

Limitations include assumptions about mass distribution, the shape of galaxies, and the neglect of factors such as compressibility and pressure in simplified cases. The discussion reflects a range of perspectives on these assumptions.

sha1000
Messages
125
Reaction score
6
TL;DR
Time dilation as a function of distance from the center of galaxy.
Hello everyone

- The gravitational force near the edge of the galaxy at point A (see attached image) can be calculated by assuming that all the galactic mass is located in the center of the galaxy.
- In order to calculate the gravitational force in the middle of the galaxy (point B) we take into account only the inner volume mass and we can neglect all the mass in outer volume.

time dilation galaxy.png


Can we apply the same logic for the gravitational time dilation?
What is the mass which I must use for the calculation of the time dilation at the point B? Do I need to take into account only the inner mass?

Thank you in advance.
 
  • Like
Likes   Reactions: marcosdb
Physics news on Phys.org
sha1000 said:
Summary:: Time dilation as a function of distance from the center of galaxy.

The gravitational force near the edge of the galaxy at point A (see attached image) can be calculated by assuming that all the galactic mass is located in the center of the galaxy.
Are you thinking of galaxies that are roughly spherical? I don’t think this is true for disk shaped galaxies.
 
Dale said:
Are you thinking of galaxies that are roughly spherical? I don’t think this is true for disk shaped galaxies.
Thanks for the response.

Actually the question is not really about the galaxies. But more about the time dilation in general. As another example we can take a planet.

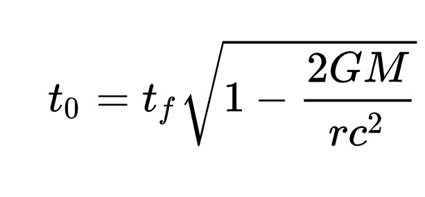
To calculate the time dilation near the surface of the Earth we can use the equation:
equation.png


For any radius "outside" the planet: M = total mass of the Earth.

But what mass must be considered to calculate the time dilation in the "middle of the Earth" or "near the center"?
Is it only the inner volume mass, like in the case of the gravitational force?

P.S. Let us consider that the density of the Earth is constant.
 
sha1000 said:
Thanks for the response.

Actually the question is not really about the galaxies. But more about the time dilation in general. As another example we can take a planet.

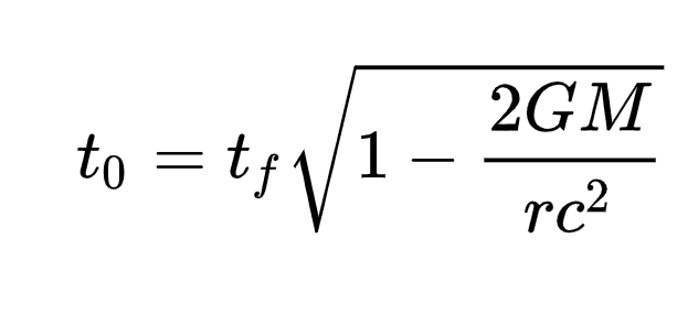
To calculate the time dilation near the surface of the Earth we can use the equation:
View attachment 289027

For any radius "outside" the planet: M = total mass of the Earth.

But what mass must be considered to calculate the time dilation in the "middle of the Earth" or "near the center"?
Is it only the inner volume mass, like in the case of the gravitational force?
That's the same question that was asked in the link I gave. The reference there is to Wald, section 6.2 for the "interior" metric. It gets complicated, even for a perfect fluid.
 
  • Like
Likes   Reactions: sha1000
PeroK said:
That's the same question that was asked in the link I gave. The reference there is to Wald, section 6.2 for the "interior" metric. It gets complicated, even for a perfect fluid.
If I understand correctly the complication arises from the compressibility issues etc.

But my question is about oversimplified cases.

For example, inside a sphere: one need to take into account only the inner volume mass for the calculation of the gravitational force.
So is it same for the time dilation? (Without considering mass distribution, pressure, compressibility etc).
 
sha1000 said:
If I understand correctly the complication arises from the compressibility issues etc.

But my question is about oversimplified cases.

For example, inside a sphere: one need to take into account only the inner volume mass for the calculation of the gravitational force.
So is it same for the time dilation? (Without considering mass distribution, pressure, compressibility etc).
The simple answer is no, it's not the same for gravitational time dilation.

The result you quote is the shell theorem for Newtonian gravity. And, where the Newtonian solution is a close approximation of the GR solution, it's logical that the shell theorem applies in GR as well.

Gravitational time dilation, however, is fairly negligible for these cases where the Newtonian approximation applies. The redshift from the surface of the Sun is very small and gravitational time dilation across the galaxy must be almost negligible. Moreover, the galaxy is not a sphere in the first place, so any calculation that is not simply a gross approximation is going to be difficult. The calculations you propose will be in that category of gross approximations.

If you want to go beyond this, then (as evidenced by the reference to Wald's GR book) an analytic solution for the metric inside a region of mass (whether that is the interior of a planet, star or galaxy) gets very complicated even for the simplest case of a perfect fluid.
 
sha1000 said:
To calculate the time dilation near the surface of the Earth we can use the equation:
Yes, but the only reason we can use that equation is because the Earth is roughly spherical and doesn't rotate much. That equation wouldn't hold for a disk galaxy.
 

Similar threads

  • · Replies 7 ·
Replies
7
Views
3K
  • · Replies 9 ·
Replies
9
Views
2K
  • · Replies 18 ·
Replies
18
Views
2K
  • · Replies 11 ·
Replies
11
Views
3K
  • · Replies 17 ·
Replies
17
Views
5K
  • · Replies 54 ·
2
Replies
54
Views
4K
  • · Replies 12 ·
Replies
12
Views
3K
  • · Replies 4 ·
Replies
4
Views
2K
  • · Replies 103 ·
4
Replies
103
Views
8K
  • · Replies 37 ·
2
Replies
37
Views
7K