What is the midpoint of these given points?

  • Context: MHB 
  • Thread starter Thread starter mathdad
  • Start date Start date
Click For Summary
SUMMARY

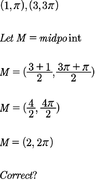
The discussion focuses on calculating the midpoint of given points in a coordinate system. The midpoint formula, which is defined as M = ((x1 + x2)/2, (y1 + y2)/2), is confirmed as the correct method for finding the midpoint. Participants express satisfaction in achieving the correct answer using this formula. The conversation emphasizes the importance of understanding basic geometric concepts in mathematics.

PREREQUISITES
  • Understanding of Cartesian coordinates
  • Familiarity with basic algebra
  • Knowledge of geometric concepts
  • Ability to apply the midpoint formula
NEXT STEPS
  • Explore advanced applications of the midpoint formula in geometry
  • Learn about distance formulas in coordinate geometry
  • Study the concept of centroids in triangles and polygons
  • Investigate the use of midpoints in real-world scenarios, such as navigation
USEFUL FOR

Students in mathematics, educators teaching geometry, and anyone interested in improving their understanding of coordinate systems and geometric calculations.

mathdad
Messages
1,280
Reaction score
0
Find the midpoint of the given points.

View attachment 7479
 

Attachments

  • MathMagic171104_2.png
    MathMagic171104_2.png
    9.9 KB · Views: 113
Last edited by a moderator:
Mathematics news on Phys.org
Yes, that is correct.
 
There's a sense of accomplishment when getting the right answer.
 

Similar threads

  • · Replies 15 ·
Replies
15
Views
2K
Replies
9
Views
2K
Replies
5
Views
2K
  • · Replies 10 ·
Replies
10
Views
3K
  • · Replies 1 ·
Replies
1
Views
1K
Replies
2
Views
6K
  • · Replies 13 ·
Replies
13
Views
4K
  • · Replies 1 ·
Replies
1
Views
2K
  • · Replies 6 ·
Replies
6
Views
2K
  • · Replies 8 ·
Replies
8
Views
4K