What Vertical Velocity Is Needed for a Slam Dunk?

Click For Summary
SUMMARY

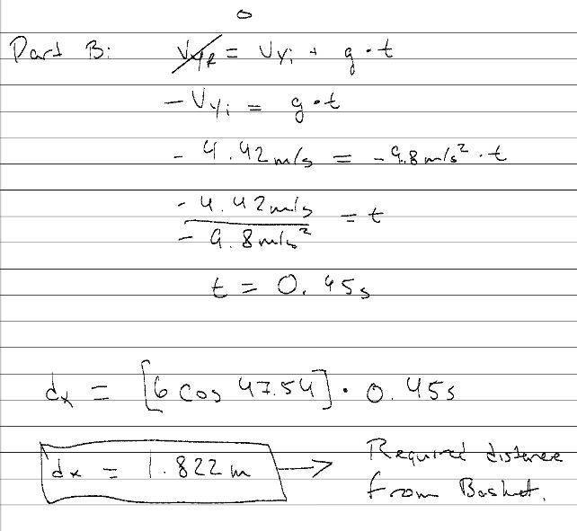
The discussion centers on calculating the vertical velocity component required for a basketball player to achieve a slam dunk from a jump height of 1 meter. The player approaches the basket at a horizontal velocity of 6 m/s. The calculations confirm that using gravitational acceleration (g = 9.81 m/s²), the vertical velocity needed is approximately 4.43 m/s. Additionally, the horizontal distance from the basket for the jump is determined to be 2.71 meters, based on the time taken to reach maximum height.

PREREQUISITES
  • Understanding of basic physics concepts, particularly kinematics.
  • Familiarity with gravitational acceleration (g = 9.81 m/s²).
  • Ability to perform calculations involving vertical and horizontal motion.
  • Knowledge of basketball dynamics and jump mechanics.
NEXT STEPS
  • Study kinematic equations for projectile motion in sports applications.
  • Learn about the physics of jumping and vertical leap techniques in basketball.
  • Explore the impact of horizontal velocity on jump distance and height.
  • Investigate advanced calculations involving angles and trajectories in sports physics.
USEFUL FOR

Students studying physics, basketball coaches, athletes looking to improve their jump mechanics, and sports scientists analyzing performance metrics.

chris_0101
Messages
59
Reaction score
0
1. Homework Statement [/b

A basketball player is approaching the basket at a velocity of 6m/s when he jumps into the air to perform a slam dunk. Calculate the vertical velocity component required to lift the player 1m above the ground. Determine the distance from the basket needed for the start of the jump in order for the player to reach the maximum height at the position of the basket

Attached to this thread is my solution, however the wording of the question is puzzling me and I do not know if the 1m that is mentioned is a point during his jump or the maximum height of his jump. My solution is based off of assuming that the 1m mentioned is the maximum height.

Basically I am asking if my solution is right or wrong and if anyone can point me into the right direction,

Thanks


Homework Equations



All relevant equations are listed in the attached files

The Attempt at a Solution



See the attached files below:

question a.jpg


question b.JPG


Thanks for the help
 
Physics news on Phys.org
I agree with your first answer, except I got 4.43 instead of 4.42, using g = 9.81. I did not do the angle calculation - just completed your initial calculation for v.

For the second part, I interpreted the question to mean the horizontal distance only and used d = vt = 6*0.45 = 2.71 m.
 

Similar threads

  • · Replies 2 ·
Replies
2
Views
3K
  • · Replies 1 ·
Replies
1
Views
7K
  • · Replies 1 ·
Replies
1
Views
5K
  • · Replies 18 ·
Replies
18
Views
5K
Replies
3
Views
4K
  • · Replies 1 ·
Replies
1
Views
2K
Replies
3
Views
3K
Replies
2
Views
2K
  • · Replies 1 ·
Replies
1
Views
2K
Replies
3
Views
1K