Why does electron withdrawal influence acidity in organic compounds?

  • Thread starter Thread starter leopard
  • Start date Start date
Click For Summary
SUMMARY

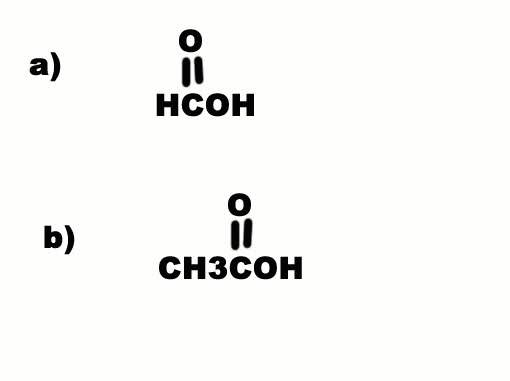
The discussion centers on the influence of electron-withdrawing and electron-donating groups on the acidity of organic compounds. It establishes that substituents like CH3, which are electron-donating, decrease acidity compared to electron-withdrawing groups. The comparison between compounds a) and b) illustrates that despite C being more electron-withdrawing than H, the presence of the CH3 group in b) reduces acidity due to its electron-donating nature. This highlights the critical role of substituent effects in determining acidity in organic chemistry.

PREREQUISITES
  • Understanding of acidity and basicity in organic chemistry
  • Familiarity with electron-withdrawing and electron-donating groups
  • Knowledge of conjugate acids and bases
  • Basic principles of resonance and inductive effects
NEXT STEPS
  • Research the effects of different electron-withdrawing groups on acidity
  • Study the role of resonance in stabilizing conjugate bases
  • Explore the concept of pKa and its relevance to acidity
  • Learn about the comparative acidity of various functional groups in organic compounds
USEFUL FOR

Chemistry students, organic chemists, and anyone interested in understanding the factors influencing acidity in organic compounds.

leopard
Messages
123
Reaction score
0
15rf5eb.jpg

Why is a) more acidic than b) when C is more electron withdrawing than H? Electron withdrawal by a substituent increases acidity...
 
Physics news on Phys.org
leopard said:
15rf5eb.jpg

Why is a) more acidic than b) when C is more electron withdrawing than H? Electron withdrawal by a substituent increases acidity...

Consider the fact that the CH3 group is electron donating relative to H and what influence this would have on the conjugate bases.
 

Similar threads

  • · Replies 4 ·
Replies
4
Views
2K
  • · Replies 4 ·
Replies
4
Views
3K
  • · Replies 2 ·
Replies
2
Views
2K
  • · Replies 5 ·
Replies
5
Views
3K
  • · Replies 2 ·
Replies
2
Views
2K
Replies
3
Views
6K
Replies
7
Views
3K
  • · Replies 4 ·
Replies
4
Views
2K
  • · Replies 1 ·
Replies
1
Views
2K
  • · Replies 3 ·
Replies
3
Views
2K