Why Isn't It 3n^2(2n+1)^2 in the Algebra Problem?

  • Thread starter Thread starter synkk
  • Start date Start date
  • Tags Tags
    Algebra
Click For Summary
SUMMARY

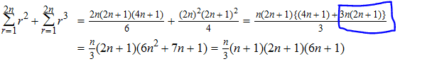
The algebra problem discussed revolves around the expression 3n^2(2n+1)^2. Participants clarified that the expression is correctly factored as presented, with emphasis on the importance of the brackets in the equation. The consensus confirms that the original formulation is accurate and does not require modification.

PREREQUISITES
  • Understanding of algebraic expressions and factoring
  • Familiarity with polynomial expansion
  • Knowledge of the distributive property
  • Basic skills in manipulating mathematical equations
NEXT STEPS
  • Study polynomial factoring techniques
  • Learn about the distributive property in depth
  • Explore common algebraic identities and their applications
  • Practice solving algebraic expressions with brackets
USEFUL FOR

Students studying algebra, educators teaching mathematical concepts, and anyone seeking to improve their skills in polynomial manipulation.

synkk
Messages
216
Reaction score
0
2ztkpwi.png


The blue bit, I understand how they got the 3, but shouldn't it be [tex]3n^2(2n+1)^2[/tex]
?

exercise E 2c
 
Last edited:
Physics news on Phys.org
Assuming the middle statement to be correct, I would think that you are right here.

Edit: sacsale is right, it's correct as is.
 
Last edited:
It was factored out, note the brackets.
 

Similar threads

Replies
5
Views
2K
Replies
5
Views
2K
  • · Replies 19 ·
Replies
19
Views
4K
  • · Replies 10 ·
Replies
10
Views
8K
  • · Replies 4 ·
Replies
4
Views
1K
  • · Replies 2 ·
Replies
2
Views
2K
  • · Replies 2 ·
Replies
2
Views
2K
Replies
5
Views
3K
  • · Replies 6 ·
Replies
6
Views
2K
  • · Replies 3 ·
Replies
3
Views
2K