mad mathematician's latest activity
-
mad mathematician replied to the thread Other Hi, I need some advise about how to publish.You can also publish your work in researchgate, or in your own blog. The only reason to get publish in peer reviewed journals is perhaps... -
mad mathematician replied to the thread Graduate Did Stephen Hawking fix his numerical mistake?.Well this book is more semi-popular. Someone who didn't even take a UG course in GR wouldn't understand the terms being used there. I... -
mad mathematician reacted to PeterDonis's post in the thread Graduate Did Stephen Hawking fix his numerical mistake? with
Like.
Yes, but in that model, at least according to Hawking, there is an event horizon because of the recollapse of the universe. (I'm not... -
mad mathematician posted the thread Graduate Did Stephen Hawking fix his numerical mistake? in Beyond the Standard Models.I am reading Hawking's and Penrose's joint book called:" The Nature Of Space and Time". And on page 98 it's written the following:"I... -
mad mathematician replied to the thread High School GRB 250702B, the longest gamma-ray burst in history.Hawkinng-Unruh virtual-real explosion... Have you ever wondered when virtual particles meet their real relatives? or anti-real... -
mad mathematician reacted to wrobel's post in the thread Graduate Another similar notion to compactness with
Like.
Any set can be covered by a finite intersection of closed sets; simply take its closure. Furthermore, the closure of a set is itself the... -
mad mathematician posted the thread Graduate Another similar notion to compactness in Topology and Analysis.I really don't understand why I didn't think about it while I learned UG topology back then. The usual definition of Compactness is... -
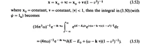
mad mathematician posted the thread Graduate Another derivation from Quantum Fields on curved spacetime in Special and General Relativity.Hi, can anyone tell me how to derive equation eq (3.64) from equation (3.59)? attached are the relevant pages: -
mad mathematician replied to the thread Sick nonholonomic problem.Don't trust Gemini, try GPT (the pro version). -
mad mathematician replied to the thread Is this the correct general solution of the given PDE?.An interesting variation may be this one: ##u_{xx}+6u_x+9u_y=0##, which can be solved by the method of characteristics: ##dx/ds=6... -
mad mathematician replied to the thread Is this the correct general solution of the given PDE?.it looks like the solution is ##u(x,y)=g(y)e^{rx}##. And as you know you get ##r=-3## with multiplicity 2; so the general solution is... -
mad mathematician replied to the thread Hey alright more physicists.Have fun! (but not too much... :oldbiggrin: ). -
mad mathematician replied to the thread Graduate Some derivation in QFT in Curved SpaceTime by Birrell and Davies.Ok, now I can proceed reading the book. Great website! as always. -
mad mathematician reacted to renormalize's post in the thread Graduate Some derivation in QFT in Curved SpaceTime by Birrell and Davies with
Like.
No, because your last equation for ##\Delta\tau## is wrong since it contradicts B&D's eq. (3.57). Remember that ##t## is coordinate time... -
mad mathematician posted the thread Graduate Some derivation in QFT in Curved SpaceTime by Birrell and Davies in Quantum Physics.I am trying to derive equation (3.61) below (the attachments are from pages 51-53). As far as I can tell, one can get (3.61) from (3.59)...





