Sagittarius A-Star's latest activity
-
Sagittarius A-Star reacted to pervect's post in the thread Undergrad Why is the Lorentz Force always perpendicular to velocity? with
Like.
I went over the calculation from Purcell from the references that others have posted - thanks to all who responded, by the way - and I... -
Sagittarius A-Star replied to the thread Undergrad Why is the Lorentz Force always perpendicular to velocity?.The effect of this on the charge line density might be an artifact of the constraint in the OP and in the linked simplified calculation... -
Sagittarius A-Star replied to the thread Undergrad Why is the Lorentz Force always perpendicular to velocity?.I think the point is, that for the charge line-density, the quadratic term in ##\beta'## is the first nonzero term. The constant terms... -
Sagittarius A-Star replied to the thread Undergrad Why is the Lorentz Force always perpendicular to velocity?.The simplified calculation, I linked to in posting #42, does an approximation for small ##v## in equation (1). But of course, the... -
Sagittarius A-Star reacted to A.T.'s post in the thread Undergrad Why is the Lorentz Force always perpendicular to velocity? with
Like.
Isn't the explanation simply that even a second order term can be relevant if it has a large enough constant factor? You should... -
Sagittarius A-Star replied to the thread Undergrad Why is the Lorentz Force always perpendicular to velocity?.I think that cannot be, because Purcell does a calculation of the electric force in the rest frame of the object via lenght contraction... -
Sagittarius A-Star replied to the thread Undergrad Why is the Lorentz Force always perpendicular to velocity?.At @PeterDonis wrote in posting #4, the Lorentz force is ##F = q \left( \vec{E} + \vec{v} \times \vec{B} \right)##. If there is no... -
Sagittarius A-Star reacted to A.T.'s post in the thread Undergrad Why is the Lorentz Force always perpendicular to velocity? with
Like.
You might be right here. My statement above was based on symmetry w.r.t. the normal to the conductor that passes through the test... -
Sagittarius A-Star reacted to JiuBeixin's post in the thread Undergrad Why is the Lorentz Force always perpendicular to velocity? with
Like.
except the force, cause I don't know the force's direction in frame ##S## now. -
Sagittarius A-Star replied to the thread Undergrad Why is the Lorentz Force always perpendicular to velocity?.Does my picture in posting #26 describe correctly your case in lab-frame ##S##? -
Sagittarius A-Star replied to the thread Undergrad Why is the Lorentz Force always perpendicular to velocity?.In the labframe ##S## in my drawing in posting #26, the ##x## axis points in the same horizontal direction as ##u_1##, the ##y## axis in... -
Sagittarius A-Star replied to the thread Undergrad Why is the Lorentz Force always perpendicular to velocity?.As I understand your scenario, the object is moving in frame ##S## not parallel and not perpendicular to the conductor. But the force... -
Sagittarius A-Star reacted to PeterDonis's post in the thread Undergrad Why is the Lorentz Force always perpendicular to velocity? with
Like.
Which is equivalent to what I wrote in post #4, i.e., it is not just the magnetic force. So what I said in post #4 would apply if one... -
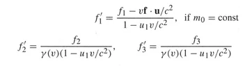
Sagittarius A-Star replied to the thread Undergrad Why is the Lorentz Force always perpendicular to velocity?.One could start from the equation for the Lorentz 4-force and from that it is rest mass-preserving. Source -
Sagittarius A-Star replied to the thread Graduate What Exactly Is The Physical Content Of Maxwell's Equations?.In Geometric Algebra, the Hodge * operation is replaced by an algebraic operation, a multiplication with the unit pseudo-scalar ##I##...






