Am I allowed to ask my answers to questions to be marked?

  • Thread starter Thread starter Medeiros
  • Start date Start date
Click For Summary

Homework Help Overview

The discussion revolves around a physics homework assignment where the original poster seeks feedback on their answers to a set of questions related to electricity. The context involves collaborative work in class and subsequent individual attempts at completing the assignment.

Discussion Character

  • Exploratory, Assumption checking

Approaches and Questions Raised

  • The original poster expresses a desire for feedback on their completed homework, asking for clarification on which answers may be incorrect. Some participants suggest the need for a structured approach, such as using a template for submissions.

Discussion Status

The discussion includes guidance on how to properly format requests for help, with suggestions to create separate threads for individual questions. There is no explicit consensus on the best way to proceed, but there are indications of productive direction regarding submission clarity.

Contextual Notes

Participants note the importance of clear submissions and the potential need for a structured format to facilitate feedback. There is also mention of a request to rename the thread for clarity, indicating a desire for better organization within the forum.

Medeiros
In physics class we are given a sheet of question to do in class as a group and we always end up doing 3/7 of them together then take the paper home to finish it off.

I've done that, and I wanted someone to tell me if I got them right and which one's I didn't so i can re-attempt it and work through doing the usual homework layout :)

thanks
 
Physics news on Phys.org
Medeiros said:
In physics class we are given a sheet of question to do in class as a group and we always end up doing 3/7 of them together then take the paper home to finish it off.
I've done that, and I wanted someone to tell me if I got them right and which one's I didn't so i can re-attempt it and work through doing the usual homework layout :)

thanks
Welcome to PF!

Yes you can ask the questions here. Make sure you fill up the three-part template and show your attempt.
 
  • Like
Likes   Reactions: Medeiros
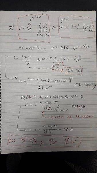
Awesome. Here is a photo of all the questions and my attempts to each one.
I'd appreciate it if someone just let me know where I went wrong/could've done better so I can re-attempt it.
Thank you in advance :)

fSCYHF
 

Attachments

  • 20706228_1378944008807982_1946948810_o.jpg
    20706228_1378944008807982_1946948810_o.jpg
    29.6 KB · Views: 410
  • 20707225_1378944128807970_1397032381_o.jpg
    20707225_1378944128807970_1397032381_o.jpg
    25.4 KB · Views: 251
  • 20746735_1378944042141312_46147542_o.jpg
    20746735_1378944042141312_46147542_o.jpg
    27.2 KB · Views: 373
  • 20746871_1378944162141300_223030544_o.jpg
    20746871_1378944162141300_223030544_o.jpg
    25.3 KB · Views: 411
  • 20747127_1378944022141314_2026644753_o.jpg
    20747127_1378944022141314_2026644753_o.jpg
    34.5 KB · Views: 382
Also is it possible to rename the thread so I can change it to something like "Basic Physics Electricity questions"
 
You should create new thread for each question. Your attempt is not easy to read.
Please create a new thread and fill up the three-part template.
If you want to upload images of your working, make sure that they are clear and easy to read.
 
Thread closed
 

Similar threads

Replies
14
Views
972
  • · Replies 6 ·
Replies
6
Views
2K
  • · Replies 6 ·
Replies
6
Views
3K
  • · Replies 21 ·
Replies
21
Views
274K
  • · Replies 5 ·
Replies
5
Views
3K
  • · Replies 7 ·
Replies
7
Views
2K
  • · Replies 7 ·
Replies
7
Views
3K
Replies
2
Views
1K
Replies
18
Views
2K
Replies
5
Views
5K