B.2.2.2 solve DE ....separate variables

  • Context: MHB 
  • Thread starter Thread starter karush
  • Start date Start date
  • Tags Tags
    Variables
Click For Summary

Discussion Overview

The discussion revolves around solving a differential equation using the method of separation of variables. Participants explore the steps involved in separating variables, integrating, and understanding the role of the constant of integration in the solution.

Discussion Character

  • Technical explanation
  • Mathematical reasoning
  • Homework-related

Main Points Raised

  • One participant presents the differential equation and attempts to separate variables, expressing confusion about the inclusion of the constant \( C \) in the solution.
  • Another participant provides a detailed solution, explaining that \( C \) represents a family of curves that are solutions to the differential equation, and that specific curves can be determined by initial conditions.
  • Several participants express uncertainty about the separation of variables, particularly regarding the manipulation of \( dx \) and \( dy \) in the process.
  • A participant clarifies that \( y' \) can be expressed as \( \frac{dy}{dx} \) and discusses the treatment of differentials in the context of calculus.
  • Another participant emphasizes the importance of a solid understanding of calculus before tackling differential equations.
  • Areas of Agreement / Disagreement

    Participants generally agree on the method of separation of variables but express differing levels of understanding regarding the manipulation of differentials and the implications of the constant \( C \). The discussion remains unresolved regarding the clarity of the separation process.

    Contextual Notes

    Some participants highlight the need for a strong foundation in calculus to effectively engage with the topic of differential equations. There are also nuances in the treatment of \( dy/dx \) as a fraction versus a limit of fractions that are not fully resolved.

karush
Gold Member
MHB
Messages
3,240
Reaction score
5
Screenshot 2021-09-20 12.55.15 PM.png
#2

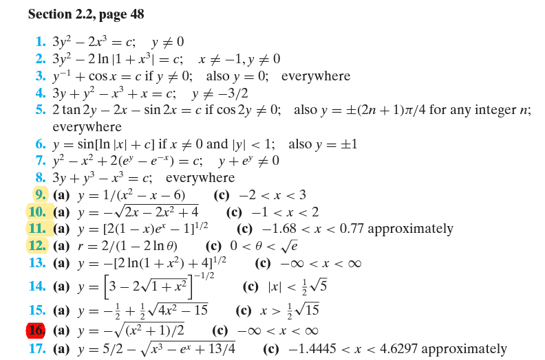
$ y'= \dfrac{x^2}{y(1+x^3)}$

Separate y dy =\dfrac{x^2}{(1+x^3)...

ok i tried to get the book ans but someahere derailed
why is =c in the answer
 
Physics news on Phys.org
$$y^\prime = \dfrac{x^2}{y(1+x^3)}\\~\\

y dy = \dfrac{x^2}{1+x^3}dx\\~\\

\dfrac 1 2 y^2 = \dfrac{1}{3} \log \left(x^3+1\right) + C\\~\\

y^2 = \dfrac 2 3 \log(x^3+1) + C~\text{(note the constant absorbs multiplication by other constants)}\\~\\

y = \pm \left(\dfrac 2 3 \log(x^3+1) + C\right)^{1/2} = \pm \sqrt{\dfrac 2 3} \left(\log(x^3+1)+C\right)^{1/2}\\~\\

\text{$C$ is in the answer because there is a whole family of curves parameterized by $C$ that are a solution to this diff eq.}\\~\\

\text{You can select a specific curve by specifying initial conditions.}

$$
 
ok i don't see how you can just
put dx in separations

great help tho appreciate the steps
 
karush said:
ok i don't see how you can just
put dx in separations
Huh? What step are you not understanding?

-Dan
 
the second step the dy was already there the dx wasn't
 
$$y^\prime = \dfrac{dy}{dx}$$

so just "multiply" both sides by $$dx$$

Have you read on how to solve separable diff eqs?
 
Before you take Differential Equations you need to know Calculus really well! I think you need more practice in Calculus.

You say " the dy was already there the dx wasn't ".
Strictly speaking neither was in the original equation- it had y'. But I am sure you understand that y' and dy/dx are just different notations for the derivative of y with respect to x.

Romsek said "just multiply both sides by dx". Now, Strictly speaking "dy/dx" is NOT a fraction, it is rather the limit of fractions: $\lim_{h\to 0}\frac{y(x+h)- y(x)}{h}$. But it can be "treated like a fraction". To make use of that we define (typically in Calculus 3) the "differentials" dy and dx separately from dy/dx such that dy= y' dx. That allows us to treat dy/dx as if it were a fraction and say if dy/dx= f'(x) then dy= f'(x)dx.
 

Similar threads

Replies
2
Views
3K
  • · Replies 16 ·
Replies
16
Views
4K
  • · Replies 10 ·
Replies
10
Views
2K
  • · Replies 2 ·
Replies
2
Views
2K
  • · Replies 4 ·
Replies
4
Views
2K
Replies
6
Views
2K
  • · Replies 1 ·
Replies
1
Views
2K
Replies
18
Views
2K
  • · Replies 3 ·
Replies
3
Views
2K
  • · Replies 3 ·
Replies
3
Views
4K