Built an HBT Interferometer but don't get the physics

  • Context: Undergrad 
  • Thread starter Thread starter Mellowed
  • Start date Start date
  • Tags Tags
    Interferometer Physics
Click For Summary
SUMMARY

The discussion centers on the construction of a Hanbury-Brown Twiss (HBT) Interferometer, designed to measure time differences between two single photon detectors with a precision of 100 picoseconds over a range of 1 microsecond to 1 millisecond at approximately 10 MHz. The device utilizes a 32-bit microcontroller to process measurements and send data to a PC and LabVIEW for analysis. The user seeks clarification on the physics behind the HBT experiment, specifically regarding the calculation of the second-order coherence function and the relationship between electric field positions and time measurements.

PREREQUISITES
  • Understanding of Hanbury-Brown Twiss Interferometry
  • Familiarity with single photon detectors (SPCM)
  • Knowledge of basic electronics and microcontroller programming
  • Basic mathematical skills related to time and position measurements
NEXT STEPS
  • Study the mathematical formulation of the second-order coherence function in quantum optics
  • Learn about the principles of photon counting and coincidence detection
  • Explore LabVIEW for data visualization and analysis in experimental physics
  • Investigate the Hanbury-Brown and Twiss effect through practical experiments and simulations
USEFUL FOR

Researchers, physicists, and engineers interested in quantum optics, particularly those working with photon detection and interferometry techniques.

Mellowed
Messages
1
Reaction score
0
Hi Guys,

I was tasked with building a cheap Hanbury-Brown Twiss Interferometer >$50-100. Below is an image of my design requirements which i managed to implement within a 32bit micrcotronoller and i am able to measure time differences down to 100ps over a range of up to 1us-1ms at around 10mhz(i'm not using the clock cycle of the MCU for measurements). It sends the results to a PC and produces histographs etc and sends the data to labview aswell. It also counts the photons hitting each SPCM and has highspeed logic for simple highlow coincidence detection.

TLDR, device measures time difference between two Single photon detecotrs and some other stuff.

upload_2017-2-22_21-54-33.png


So I'm at the point where i need to explain the HBT experiment and I'm totally lost. Below is a basic setup example.

upload_2017-2-22_21-56-29.png


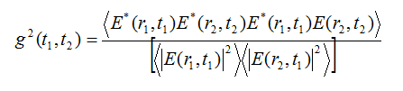
So the HBT can be used to calculate the second order coherence function given by

upload_2017-2-22_22-0-53.png


where (r1,t1) is the position and time of E electric fields? how would i get the (r1,t1), (r2,t1), (r2,t2) and how do they relate to the detections and measurements i make in the Figure1 above?

I studied electronics and no phyics (at all) and it has been a few years since i did maths so any help would be great.

Thanks!
 
Physics news on Phys.org