Calculate Cooling Time: Aluminum Block in Steel Crate at 90°C

Click For Summary

Discussion Overview

The discussion revolves around calculating the cooling time for an aluminum block placed in a steel crate, both initially at 90°C, and determining how long it takes for the block to cool down to 25°C. The conversation includes considerations of heat transfer mechanisms, geometry, and environmental factors, with a focus on both theoretical and practical aspects of heat transfer.

Discussion Character

  • Exploratory
  • Technical explanation
  • Debate/contested
  • Mathematical reasoning

Main Points Raised

  • One participant asks how to calculate the cooling time for an aluminum block in a steel crate.
  • Several participants request specific details about the geometry of the block and crate, the thickness of the crate wall, and the heat transfer coefficients involved.
  • Another participant suggests that the ambient temperature is crucial for the calculations.
  • One participant provides estimated cooling times under different conditions, such as sitting on a larger steel block or being submerged in water.
  • Another participant presents a heat transfer equation, indicating that the dominant resistance to heat transfer is likely on the outside of the crate.
  • A later post discusses the limitations of the lumped system approach for larger objects and proposes considering transient heat conduction for a larger aluminum pipe.
  • Another participant elaborates on how to approach the cooling time calculation for the pipe, suggesting methods to bound the maximum cooling time and discussing the importance of approximations in heat transfer calculations.

Areas of Agreement / Disagreement

Participants generally agree on the need for specific parameters to calculate cooling time, but there are multiple competing views on the methods to be used, especially regarding the lumped system versus transient heat conduction approaches. The discussion remains unresolved regarding the best approach for larger objects.

Contextual Notes

Participants highlight the importance of various assumptions, such as neglecting internal heat transfer resistance and the geometry of the objects, which may affect the accuracy of the cooling time calculations.

Shady99
Messages
71
Reaction score
0
How to calculate cooling time for a aluminum block in a steel crate placed in a room...both at 90°c ...how much time aluminum block will tak take to cool down to 25°c?
 
Engineering news on Phys.org
What is the exact geometry of the block and the crate, the thickness of the crate wall, the heat transfer coefficient between the crate and the outside air, the thermal conductivity of the crate wall, and the geometric arrangement of the block and crate relative to one another?
 
Chestermiller said:
What is the exact geometry of the block and the crate, the thickness of the crate wall, the heat transfer coefficient between the crate and the outside air, the thermal conductivity of the crate wall, and the geometric arrangement of the block and crate relative to one another?
Aluminum block is of brick shape with dimensions 10x 10 x 10 mm.

The steel crate wall is 5 mm.

The heat transfer coefficient is 25 w/m2 k

The thermal conductivity of crate wall is 40 w/m k

The block and crate are arranged in such a way that there is no gap between both . The crate covers the block from all side except from the top face which is exposed to environment/room

The ambient temperature is 25 deg c
 
russ_watters said:
...and the ambient temperature of the room?
The ambient temperature is 25 deg c
 
About 20 minutes if you sit the box on a larger steel block in the open air .

About 40 minutes if you sit the box on a brick and put it in a cupboard .

About 60 seconds if you drop the box in water .
 
Last edited:
Nidum said:
About 20 minutes if you sit the box on a larger steel block in the open air .

About 40 minutes if you sit the box on a brick and put it in a cupboard .

About 60 seconds if you drop the box in water .
Can you please share the formulas u used sequence wise
 
From the data you provided, it looks like the dominant resistance to heat transfer is on the outside of the crate, assuming that the heat transfer resistance between the crate and the block is negligible. If the crate are assumed to be levitated in the air (and neglecting the internal heat transfer resistance of the block and crate), the equation for heat transfer would be:
$$(M_BC_B+M_CC_C)\frac{dT}{dt}=-hA(T-T_a)$$where the M's are the masses of the block and crate, the C's are the heat capacities of of the block and crate, h is the heat transfer coefficient, A is the total outside surface area of the block and crate, and ##T_a## is the ambient temperature
 
  • Like
Likes   Reactions: Shady99
Chestermiller said:
From the data you provided, it looks like the dominant resistance to heat transfer is on the outside of the crate, assuming that the heat transfer resistance between the crate and the block is negligible. If the crate are assumed to be levitated in the air (and neglecting the internal heat transfer resistance of the block and crate), the equation for heat transfer would be:
$$(M_BC_B+M_CC_C)\frac{dT}{dt}=-hA(T-T_a)$$where the M's are the masses of the block and crate, the C's are the heat capacities of of the block and crate, h is the heat transfer coefficient, A is the total outside surface area of the block and crate, and ##T_a## is the ambient temperature
was viewing it on cellphone so it wasnt showing the post properly.Now its clear on the mac
 
  • #10
Shady99 said:
was viewing it on cellphone so it wasnt showing the post properly.Now its clear on the mac
$$\ln{\frac{(T-T_a)}{(T_0-T_a)}}=-\frac{hAt}{(M_BC_B+M_CC_C)}$$
 
Last edited:
  • #11
hello again chester...Sir this discussion we had about the heat transfer we considered the our objects as lumped system...what if the mass is quite large and we can't use lumped approach as there are temperature difference over along the length itself. For example i have an aluminum pipe with ID=0.3m diameter and OD=1 m diameter and length=6m...how would i find out time to cool it down to 30 c...from my understanding now due to large size of object,there will be conduction inside the pipe and then convection from the surface of the pipe exposed to environment...how can i find cooling time for this pipe...initial temperature that the pipe was heated to is 90 c and then it was left to cool down to a final temperature that is 30 c and ambient is 25 c...please help
 
  • #12
You are correct in what you are saying. To take the conduction within the solid into consideration, you need to learn about transient solutions to the heat conduction equation. This is not the proper format for a complete tutorial on transient heat conduction within solids. But, if I were solving the specific problem you have posed, as an experienced heat transfer guy, this is how I would proceed:

I would focus on trying to determine the maximum possible time that the cooling would require, by bounding the answer. (I assume that you want to find out the maximum possible time you would have to wait for the object to cool.) The approach I would use would deliver not only the maximum, but also a close approximation to the actual time. I would start out by neglecting the heat transfer at the inner diameter (because of the small amount of surface there) and at the ends of the cylinder (because of the relatively large aspect ratio). So the heat transfer would then be purely radial. I would also mathematically fill in the hollow part with metal, so that I now have a solid cylinder rather than an annulus. So now I have a problem of transient radial heat conduction in an (essentially) infinite cylinder.

From transient solutions to the heat conduction equation in a cylinder, I would know that the heat transfer coefficient on the solid side of the interface (based on the temperature difference between the interface and the bulk mean temperature) starts out very high at short times, and then decreases monotonically to a lower limiting asymptotic value at very long times. This asymptotic value is given by:$$h=8\frac{k_m}{D}$$where ##k_m## is the thermal conductivity of the solid and D is the cylinder diameter. So the heat flux at the cylinder boundary is given by:
$$q=8\frac{k_m}{D}(T_i-\bar{T})$$where ##\bar{T}## is the average temperature of the cylinder at time t.

Beyond this, you just solve the problem as you did for the lumped model, of course based on the overall heat transfer coefficient from the combination of conduction and external convection.

You can see from all this that being able to solve a problem like this requires considerable experience with solution to the transient heat conduction equation, including (a) recognizing the kinds of approximations that you can make and (b) familiarity with the asymptotic limiting behavior of the solutions (for different kinds of boundary conditions). If you wanted to be even more accurate, you could use graphs in McAdams (Heat Transfer) showing the dimensionless temperature change as a function of the dimensionless time (Fourier Number) and the dimensionless external heat transfer coefficient (Biot number), or solve the transient heat conduction equation yourself. But, for what you are asking, I think that the bounding approach would be adequate.
 
  • Like
Likes   Reactions: Asymptotic and Shady99
  • #13
Chestermiller said:
You are correct in what you are saying. To take the conduction within the solid into consideration, you need to learn about transient solutions to the heat conduction equation. This is not the proper format for a complete tutorial on transient heat conduction within solids. But, if I were solving the specific problem you have posed, as an experienced heat transfer guy, this is how I would proceed:

I would focus on trying to determine the maximum possible time that the cooling would require, by bounding the answer. (I assume that you want to find out the maximum possible time you would have to wait for the object to cool.) The approach I would use would deliver not only the maximum, but also a close approximation to the actual time. I would start out by neglecting the heat transfer at the inner diameter (because of the small amount of surface there) and at the ends of the cylinder (because of the relatively large aspect ratio). So the heat transfer would then be purely radial. I would also mathematically fill in the hollow part with metal, so that I now have a solid cylinder rather than an annulus. So now I have a problem of transient radial heat conduction in an (essentially) infinite cylinder.

From transient solutions to the heat conduction equation in a cylinder, I would know that the heat transfer coefficient on the solid side of the interface (based on the temperature difference between the interface and the bulk mean temperature) starts out very high at short times, and then decreases monotonically to a lower limiting asymptotic value at very long times. This asymptotic value is given by:$$h=8\frac{k_m}{D}$$where ##k_m## is the thermal conductivity of the solid and D is the cylinder diameter. So the heat flux at the cylinder boundary is given by:
$$q=8\frac{k_m}{D}(T_i-\bar{T})$$where ##\bar{T}## is the average temperature of the cylinder at time t.

Beyond this, you just solve the problem as you did for the lumped model, of course based on the overall heat transfer coefficient from the combination of conduction and external convection.

You can see from all this that being able to solve a problem like this requires considerable experience with solution to the transient heat conduction equation, including (a) recognizing the kinds of approximations that you can make and (b) familiarity with the asymptotic limiting behavior of the solutions (for different kinds of boundary conditions). If you wanted to be even more accurate, you could use graphs in McAdams (Heat Transfer) showing the dimensionless temperature change as a function of the dimensionless time (Fourier Number) and the dimensionless external heat transfer coefficient (Biot number), or solve the transient heat conduction equation yourself. But, for what you are asking, I think that the bounding approach would be adequate.
thakyou so much chester. after finding the conductive heat flux...how can i combine the two (bounded + lumped approah)for finding time
 
  • #14
Shady99 said:
thakyou so much chester. after finding the conductive heat flux...how can i combine the two (bounded + lumped approah)for finding time
The equation is now: $$\ln{\frac{(T-T_a)}{(T_0-T_a)}}=-\frac{UAt}{(MC)}$$where $$\frac{1}{U}=\frac{1}{h_c}+\frac{D}{8k_m}$$where T is the average temperature of the solid and ##h_c## is the convective heat transfer coefficient.
 
  • Like
Likes   Reactions: Shady99
  • #15
Thank you chester
 
  • #16
Chestermiller said:
The equation is now: $$\ln{\frac{(T-T_a)}{(T_0-T_a)}}=-\frac{UAt}{(MC)}$$where $$\frac{1}{U}=\frac{1}{h_c}+\frac{D}{8k_m}$$where T is the average temperature of the solid and ##h_c## is the convective heat transfer coefficient.
 

Attachments

  • Screen Shot 2017-05-31 at 1.40.26 PM.png
    Screen Shot 2017-05-31 at 1.40.26 PM.png
    12.7 KB · Views: 576
  • #17
Chestermiller said:
The equation is now: $$\ln{\frac{(T-T_a)}{(T_0-T_a)}}=-\frac{UAt}{(MC)}$$where $$\frac{1}{U}=\frac{1}{h_c}+\frac{D}{8k_m}$$where T is the average temperature of the solid and ##h_c## is the convective heat transfer coefficient.
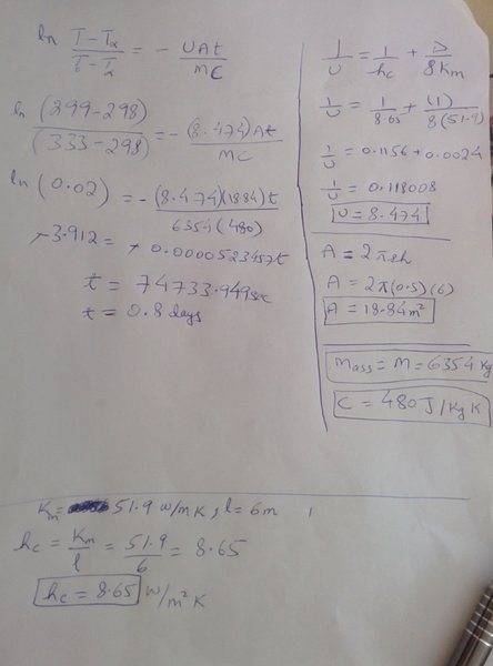
Please see the hollow cylinder.The red colored sides are insulated and the only exposed surface is the hollow pipe surfaces
 
  • #18
hello chester. I have posted a picture of the cylinder i was discussing with you. Please see the cylinder is insulated from the sides with red color (the bottom side isn't visible in the pic but that is also insulated similar to top side) and the yellow color surfaces in the hollow pipe area is exposed to room conditions. The length of the steel cylinder is 6 m, OD is 1m,ID is 0.3 m,To is 333k ,Ta is 298k, T is 299k , specific heat is 480 j/kg k, Thermal conductivity is 0.4 w/m k...the insulation is of NBR with specific heat is 1430 j/kg k, Thermal conductivity is 0.4 w/m k...can you help me find the cooling time...I m getting too many days which seems wrong
 
  • #19
correction: thermal conductivity of steel cylinder 51.9 w/m k
 
  • #20
Shady99 said:
correction: thermal conductivity of steel cylinder 51.9 w/m k
OK. What do you calculate for the overall heat transfer coefficient U?
 
  • #21
Chestermiller said:
OK. What do you calculate for the overall heat transfer coefficient U?
 

Attachments

  • IMG_20170531_173915.jpg
    IMG_20170531_173915.jpg
    23.5 KB · Views: 665
  • #22
I thought you said that the outside heat transfer coefficient was 25.
 
  • #23
Chestermiller said:
I thought you said that the outside heat transfer coefficient was 25.
that was a random value i picked . However while exploring this issue over the internet. i came to this relationship for heat transfer co efficient h=k/l where k is the thermal conductivity and l is the thickness/length of the object
 
  • #24
Shady99 said:
that was a random value i picked . However while exploring this issue over the internet. i came to this relationship for heat transfer co efficient h=k/l where k is the thermal conductivity and l is the thickness/length of the object
This is done incorrectly. First of all, you should be using the thermal conductivity of air, not the thermal conductivity of the metal. Secondly, you should be using the thickness of the natural convective thermal boundary layer as the length l, not the length or diameter of the cylinder. Typical values of the heat transfer coefficient for natural convection heat transfer from a cylinder are on the order of 3 - 20 W/m K. So, from this range, what value would you be comfortable using?
 
  • #25
10 w/m k would be fine
Chestermiller said:
OK. What do you calculate for the overall heat transfer coefficient U?

Chestermiller said:
OK. What do you calculate for the overall heat transfer coefficient U?

Chestermiller said:
This is done incorrectly. First of all, you should be using the thermal conductivity of air, not the thermal conductivity of the metal. Secondly, you should be using the thickness of the natural convective thermal boundary layer as the length l, not the length or diameter of the cylinder. Typical values of the heat transfer coefficient for natural convection heat transfer from a cylinder are on the order of 3 - 20 W/m K. So, from this range, what value would you be comfortable using?
Sent from my Nexus 5 using Physics Forums mobile app
 
  • #26
OK. Redo the calculation with that value please.
 
  • #27
Chestermiller said:
OK. Redo the calculation with that value please.
Chestermiller said:
OK. Redo the calculation with that value please.
still seems incorrect...specific heat i have used of my specific object...rest all values as u suggested
 

Attachments

  • IMG_20170531_200736.jpg
    IMG_20170531_200736.jpg
    34.5 KB · Views: 566
  • #28
$$\frac{1}{U}=\frac{1}{10}+\frac{1}{(8)(51.9)}=\frac{1}{10}+\frac{1}{415.2}=9.76\ \frac{W}{m^2\ K}$$
Note that, even though the cylinder diameter is very large, the heat transfer is still dominated by the outside convective heat transfer coefficient.
$$V=\frac{\pi (1)^2(6)}{4}\ m^3=4.71\ m^3$$
$$M=(7870)(4.71)=37100\ kg$$
$$MC=(37100)(480)=17800000\ J/K$$
$$A=\pi (1)(6)\ m^2=18.84\ m^2$$
$$\frac{UA}{MC}=\frac{(9.76)(18.84)}{17800000}=\frac{1}{96847}\ sec^{-1}$$
$$\ln{\frac{(30-25)}{(90-25)}}=-2.56$$
So, $$t=(96847)(2.56)=248000\ sec=2.9\ days$$
 
  • #29
thankyou chester...really appreciate your help
 

Similar threads

  • · Replies 4 ·
Replies
4
Views
4K
  • · Replies 6 ·
Replies
6
Views
2K
  • · Replies 12 ·
Replies
12
Views
2K
  • · Replies 13 ·
Replies
13
Views
2K
Replies
6
Views
1K
  • · Replies 6 ·
Replies
6
Views
3K
Replies
12
Views
6K
Replies
1
Views
4K
  • · Replies 15 ·
Replies
15
Views
6K
Replies
14
Views
4K