Calculating expected number of measurements

  • Context: Undergrad 
  • Thread starter Thread starter aron silvester
  • Start date Start date
  • Tags Tags
    Measurements
Click For Summary

Discussion Overview

The discussion revolves around calculating the expected number of darts landing in specific bins on a target during a physics lab experiment. Participants are addressing two specific problems related to the application of statistical formulas, particularly focusing on the normal distribution and its implications for discrete data in this context.

Discussion Character

  • Technical explanation
  • Debate/contested
  • Mathematical reasoning

Main Points Raised

  • One participant expresses confusion regarding the expected number of darts for bin #1, questioning the validity of their calculated probability of 1.09E-5.
  • Another participant clarifies that the formula used is the probability density function (pdf) of the normal distribution, which is not directly applicable to counting discrete events like darts in bins.
  • There is a discussion about the distinction between the average position of the bins and the specific bin number being analyzed, with some participants attempting to clarify these terms.
  • A participant attempts to provide a formula for calculating the expected number of darts in each bin but faces challenges in correctly applying the concepts discussed.
  • Another participant points out inconsistencies in the calculations presented, emphasizing that the mean bin number cannot exceed the maximum bin number of 13.

Areas of Agreement / Disagreement

Participants do not reach a consensus on the correct application of the statistical formulas or the interpretation of the terms involved. Confusion and disagreement persist regarding how to transition from probability calculations to expected counts of darts in bins.

Contextual Notes

Limitations include potential misunderstandings of statistical concepts, the application of continuous distribution formulas to discrete data, and the need for clarity on the definitions of average position and bin position.

aron silvester
In my Physics lab, we divided into groups and our task was to throw darts on a target containing 13 bins. The ultimate goal is to hit bin 7. The bins look something like the image below. At the end, our class combined each groups average, standard deviation, and standard error (located below). There is a class table provided below where each group combined each of their data (how many darts landed on different bins) into one table. There are two questions (posted at the very bottom), problems 9 and 10, from the lab that puzzles me. If you need any more info, just ask me about it. I've been thinking about this for 3 hours and I can't make sense of it.

Here is the target. It was just a paper that we pinned to the wall. All 13 bins.
IMG_1594.JPG


Here are data for each group and also the combined data from the class as a whole under the column "Class"
IMG_1597.JPG


Here is the class table (how many darts landed on different bins for each group combined)
IMG_1599.JPG


Problem 9:
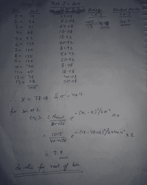
I calculated the expected number for the bin #1. I plugged in 2.7 for the standard deviation and 7.22 for X (average) and got 1.09E-5. I thought this formula was supposed to calculate the "expected number of darts" for each bin? 1.09E-5 doesn't seem to make sense, or maybe I'm misunderstanding this formula?
IMG_1598.JPG


Problem 10:
For this problem, do I just copy down whatever answers I get from problem 9? Though from the answer that I got for bin #1, it doesn't make sense to put 1.09E-5.
IMG_1600.JPG
 
Physics news on Phys.org
The formula you are using in 9 is the pdf of the normal distribution, not a number of events. It gives you the probability that a single dart will end up in a small region of size ##dx## as ##P(x)dx##. Now, your distribution is discrete, not continuous, but if the discrete steps are small enough in comparison to the spread, you can use the size ##\Delta x = 1## of the bins in place of ##dx##.

In addition, ##X## is the average position, not the average number of events, and ##x## is the position of your bin, not the number of events in it.

Now, you should be able to compute (at least approximatively) the probability of a single dart hitting a bin. If you know that, how many darts do you expect to hit a bin if you throw 1015 darts?
 
aron silvester said:
I thought this formula was supposed to calculate the "expected number of darts" for each bin? 1.09E-5 doesn't seem to make sense
This formula gives the probability that a single dart goes into a given bin. How would you go from that number to the expected number of darts in each bin?
 
Orodruin said:
The formula you are using in 9 is the pdf of the normal distribution, not a number of events. It gives you the probability that a single dart will end up in a small region of size ##dx## as ##P(x)dx##. Now, your distribution is discrete, not continuous, but if the discrete steps are small enough in comparison to the spread, you can use the size ##\Delta x = 1## of the bins in place of ##dx##.

In addition, ##X## is the average position, not the average number of events, and ##x## is the position of your bin, not the number of events in it.

Now, you should be able to compute (at least approximatively) the probability of a single dart hitting a bin. If you know that, how many darts do you expect to hit a bin if you throw 1015 darts?
What do you mean by average position and the position of your bin? Sorry, I'm confused.
 
Average position is the mean of the bin number. The position of your bin is the number of the bin you are considering.
 
Orodruin said:
Average position is the mean of the bin number. The position of your bin is the number of the bin you are considering.
Here is the right formula that I found on my paper that calculates the expected number of darts at each bin location
IMG_1603.JPG


Here is the calculation: Is this what you mean?
Screen Shot 2017-09-20 at 11.09.34 AM.png
 
No. You have now said that the mean of the bin number is 78.08 and that the bin you are checking is bin number 19. Both are completely impossible as your highest bin number is 13. X refers to the mean bin number, not the mean number of darts in a bin when throwing 1015 darts, and x refers to the number of the bin you are interested in, not the number of darts in the bin you are interested in. The standard deviation should be the standard deviation in the bin number that a single dart lands in.
 

Similar threads

  • · Replies 1 ·
Replies
1
Views
3K
  • · Replies 4 ·
Replies
4
Views
8K
Replies
28
Views
4K
  • · Replies 6 ·
Replies
6
Views
2K
  • · Replies 13 ·
Replies
13
Views
4K
  • · Replies 13 ·
Replies
13
Views
3K
Replies
5
Views
3K
  • · Replies 1 ·
Replies
1
Views
2K
  • · Replies 13 ·
Replies
13
Views
5K
  • · Replies 4 ·
Replies
4
Views
2K