Can Linear Systems of Equations Have More Than Three Solutions?

Click For Summary

Discussion Overview

The discussion revolves around the nature of solutions in linear systems of equations, specifically questioning whether such systems can have more than three solutions. Participants explore the implications of having multiple equations and variables, and how these affect the number of solutions, particularly in different dimensional spaces.

Discussion Character

  • Debate/contested
  • Conceptual clarification
  • Mathematical reasoning

Main Points Raised

  • Some participants assert that a linear system of equations can have either exactly one solution, no solution, or infinitely many solutions, depending on the relationships between the equations.
  • Others propose that if a system has more than two equations, it may seem possible to have multiple intersection points, leading to confusion about the existence of three distinct solutions.
  • A participant discusses the concept of underdetermined systems, suggesting that with fewer independent equations than variables, the solutions can form a hyperplane, which contains infinitely many points.
  • There is a mention of the requirement for solutions to satisfy all equations simultaneously, which leads to the conclusion that merely having intersection points of pairs of lines does not constitute a solution for the system as a whole.
  • Some participants express uncertainty about the implications of coefficients in different fields, such as binary fields, which could lead to finitely many solutions, contrasting with the typical case of real numbers where solutions are infinite.
  • Clarifications are sought regarding the definitions of linear independence and the dimensionality of solutions, with some participants questioning the implications of having equations that are "one dimension lower."

Areas of Agreement / Disagreement

Participants do not reach a consensus on whether linear systems can have more than three solutions. Multiple competing views exist regarding the nature of solutions, the dimensionality of the equations, and the implications of different mathematical contexts.

Contextual Notes

Limitations include varying definitions of linear independence, the dimensionality of the solution space, and the potential for finite solutions under specific conditions, which remain unresolved in the discussion.

opus
Gold Member
Messages
717
Reaction score
131
According to my text, a linear system of equations is a problem described by two or more equations in two or more variables. Now the individual equations have infinitely many solutions, however, the system of equations is said to have either exactly one solution (one point of intersection between the lines) , no solution,(no points of intersection) or infinitely many solutions (the equations lie on the same line).

Now here is my confusion- if the solutions to linear systems of equations are limited to these three options, and linear systems of equations can have more than two equations, how is it possible that we can't have something like 3 solutions?
 
Physics news on Phys.org
00A2348F-8F0D-4618-A6B2-21585A35CF98.jpeg


Here is what I mean. Three different lines corresponding to three different equations which seems to imply that there are three points of intersection.
 

Attachments

  • 00A2348F-8F0D-4618-A6B2-21585A35CF98.jpeg
    00A2348F-8F0D-4618-A6B2-21585A35CF98.jpeg
    13 KB · Views: 1,098
opus said:
Ahowever, the system of equations is said to have either exactly one solution (one point of intersection between the lines) , no solution,(no points of intersection) or infinitely many solutions (the equations lie on the same line).

Now here is my confusion- if the solutions to linear systems of equations are limited to these three options, and linear systems of equations can have more than two equations, how is it possible that we can't have something like 3 solutions?

supposing we're dealing in reals, with 2 variables you have a plane, right? But with an underdetermined system of equations -- your equations are missing a dimension -- and are one dimension lower, that is a line as you've said. In 3-D (i.e. 3 variables) you some geometry that looks like a cube and one dimension lower is a plane. This is the case where you have 3 variables and 2 linearly independent (read: useful) equations. How many points are on this plane? Pick some finite number ##k## and I can show you ##k+1## -- which means you're going to have problems saying there's a finite number of solutions.

For higher dimensions it's an analogous idea: you have some ##n## dimensional geometry, and when you are only have ##n-1## 'good equations' (i.e. one dimension lower) -- this is called a hyperplane. It is a generalization of the ideas above.

https://en.wikipedia.org/wiki/Hyperplane

In all cases there are many points on a hyperplane.
- - - -
I don't understand the picture you've posted. If it is supposed to be in a 2-D space, then you've shown a case where there are no solutions -- i.e. no points that satisfy all 3 lines simultaneously. If it's supposed to be a 3-D space, there should be another axis.
- - - -
For a better answer, you'll need to study linear algebra first as your question seems to be taylor made for it.
 
  • Like
Likes   Reactions: opus
opus said:
View attachment 228232

Here is what I mean. Three different lines corresponding to three different equations which seems to imply that there are three points of intersection.
All three points you drew are solutions to two out of three equations. If we speak of a system of linear equations, all three are meant to be satisfied at a time.
 
  • Like
Likes   Reactions: symbolipoint, opus and Nik_2213
StoneTemplePython said:
supposing we're dealing in reals, with 2 variables you have a plane, right? But with an (i)underdetermined system of equations -- your equations are missing a dimension -- and are one dimension lower, that is a line as you've said. In 3-D (i.e. 3 variables) you some geometry that looks like a cube and one dimension lower is a plane. This is the case where you have 3 variables and (ii)2 linearly independent (read: useful) equations. (iii)How many points are on this plane? Pick some finite number ##k## and I can show you ##k+1## -- which means you're going to have problems saying there's a finite number of solutions.

For higher dimensions it's an analogous idea: you have some ##n## dimensional geometry, and when you are only have ##n-1## 'good equations' (i.e. one dimension lower) -- this is called a hyperplane. It is a generalization of the ideas above.

https://en.wikipedia.org/wiki/Hyperplane

In all cases there are many points on a hyperplane.
- - - -
I don't understand the picture you've posted. If it is supposed to be in a 2-D space, then you've shown a case where there are no solutions -- i.e. no points that satisfy all 3 lines simultaneously. If it's supposed to be a 3-D space, there should be another axis.
- - - -
For a better answer, you'll need to study linear algebra first as your question seems to be taylor made for it.
(i) What do you mean by this? I understand that with two variables, we are working in a plane of two dimensions. Solutions to these types of systems will be points. And with three variables, we are now working in a 3-dimensional space and solutions to these equations are lines?? So from what I can tell, the number of variables dictates the number of dimensions we're working in.

(ii) So in my reading, a linear independent equation is where a set of vectors cannot be defined in terms of each other. I'm not sure what to make of this. Could you please elaborate?

(iii) But isn't saying there are infinite points in the plane much different than saying that there are infinite or finite solutions? There are infinite points on a line but it is possible that two lines, with infinite points, have only one solution.

(iv) I'm not understanding what you mean when you refer to good equations, and one dimension lower.
fresh_42 said:
All three points you drew are solutions to two out of three equations. If we speak of a system of linear equations, all three are meant to be satisfied at a time.
Got it! So for it to be a solution, it has to be a point on all lines, not just an intersection point of any lines.
 
I may have to retract part of my statement. In this picture, it looks like equations of three variables can intersect at lines or points.
Screen Shot 2018-07-21 at 4.24.06 PM.png
 

Attachments

  • Screen Shot 2018-07-21 at 4.24.06 PM.png
    Screen Shot 2018-07-21 at 4.24.06 PM.png
    7.2 KB · Views: 639
Could this attache image be what you're referring to when mentioning "one dimension lower"?
 

Attachments

  • Screen Shot 2018-07-21 at 4.28.25 PM.png
    Screen Shot 2018-07-21 at 4.28.25 PM.png
    18.8 KB · Views: 517
opus said:
Got it! So for it to be a solution, it has to be a point on all lines, not just an intersection point of any lines.
Yes. It's an AND between the equations. One point that satisfies all equations. You can have either no solution or all possible dimensions, from zero (one point), over a line (one-dimensional), a plane (two-dimensional) up to the number of variables. But in each dimension greater than zero will be infinitely many points.

However, there is a loophole. If you consider equations which only have coefficients in, say ##\{\,0,1\,\}##, and have the rule ##1+1=0##, then there will be only finitely many points, as a line consists of only finitely many points. So all depends on the coefficients. At school and in most applications it are the real numbers, but it could be ##\{\,0,1\,\}## or similar fields, too.
 
  • Like
Likes   Reactions: opus
Hard to explain my thoughts, so here is a pic of my question.
 

Attachments

  • 6DED2B5B-C4E2-4BED-A3FE-E2319A563E42.jpeg
    6DED2B5B-C4E2-4BED-A3FE-E2319A563E42.jpeg
    19.6 KB · Views: 512
  • #10
fresh_42 said:
Yes. It's an AND between the equations. One point that satisfies all equations. You can have either no solution or all possible dimensions, from zero (one point), over a line (one-dimensional), a plane (two-dimensional) up to the number of variables. (i)But in each dimension greater than zero will be infinitely many points.

(ii)However, there is a loophole. If you consider equations which only have coefficients in, say ##\{\,0,1\,\}##, and have the rule ##1+1=0##, then there will be only finitely many points, as a line consists of only finitely many points. So all depends on the coefficients. At school and in most applications it are the real numbers, but it could be ##\{\,0,1\,\}## or similar fields, too.

Ok then I now understand why they can also be called simultaneous. Because they're all being solved at the same time.

(i) Was following up to here. What do you mean by "greater than zero"? What is greater than zero? The number of variables?

(ii) Completely lost here. With the 1+1=0 and a line with finitely many points. Both seems impossible.
 
  • #11
opus said:
Ok then I now understand why they can also be called simultaneous. Because they're all being solved at the same time.

(i) Was following up to here. What do you mean by "greater than zero"? What is greater than zero? The number of variables?
I meant the dimensions:
no solution - empty set
dimension 0 - a point (only one point)
dimension 1 - a line (infinitely many points)
dimension 2 - a plane (infinitely many points)
dimension 3 - a space (infinitely many points)
etc.

As long as there are variables, as long do we have possible dimensions, even if we cannot imagine them anymore very well.
(ii) Completely lost here. With the 1+1=0 and a line with finitely many points. Both seems impossible.
Sorry. I just wanted to add this possibility for the sake of completeness.

If we draw, e.g. a line, then we take it as the real number line. You can point out a single point and call it zero, and from there number all points of the line by real numbers: negatives to the left, positives to the right. So the number of points on this line is directly related to the number of possible numbers, here the reals. So it matters, that our equations are given by real numbers. (O.k. rationals would do the same.)

Now what makes the rationals or reals so special? The fact, that we can add and subtract, multiply and divide. But if we consider ##\{\,0,1\,\}## as only possibilities, we will find out, that we can still do all these operations. All we need is to define ##1+1=0##. (The same works e.g. with ##\{\,0,1,2\,\}## and ##1+1+1=0\,.##) If you like you can do the puzzle. It will work. But if our line attached with numbers can only carry ##0## and ##1##, because there are no others, then it will be a line with two points in total. So the fact that our coefficients are real (or rational) makes the infinitely many solutions on a line or a plane. As soon as we don't have those, things are different - and finite. And before you laugh, the light switch in your room does exactly work this way: on + on = off. And the machines with which we communicate here work on this principle, too. A bit is set or not, on or off, up or down, north or south. But as you can imagine and we meanwhile have billions of bits on a device, those "finite" numbers and / or solutions can be really many. All we need is to extend the number of variables, which is the total dimension possible.

Sorry, if this is still not transparent enough. In this case forget about it. ... for now.
 
  • Like
Likes   Reactions: opus
  • #12
Sorry for the sporadic responses, I'm trying to go back and forth here.
So for the previously given system of equations (in the pic) I went and graphed them. Where I drew the circle appears to be a point of intersection which is (-2,3,7). So is it true that we can have solutions in three variable equations that are points or lines, depending on the orientation of the planes?Edit: I've found a system that intersects in a line. As seen in additional image.
So what determines if the system intersects in a line or a point? If we go back to 2-D systems, they intersect at points only. Now going up to 3-D, we can intersect in lines or points.
 

Attachments

  • Screen Shot 2018-07-21 at 5.26.20 PM.png
    Screen Shot 2018-07-21 at 5.26.20 PM.png
    37.9 KB · Views: 481
  • Screen Shot 2018-07-21 at 5.57.49 PM.png
    Screen Shot 2018-07-21 at 5.57.49 PM.png
    17.7 KB · Views: 518
Last edited:
  • #13
opus said:
So for the previously given system of equations (in the pic) I went and graphed them.
I can see from the first picture that you started out with the equations of three planes in space. Then you intersected the first with the second and the first with the third. Both gave you the two intersection lines of planes. And both lines are neither equal nor parallel, so they intersect in the now (x,y) plane. From there I cannot read your light blue writings anymore.
Where I drew the circle appears to be a point of intersection which is (-2,3,7).
This is the correct result, although your handwriting in picture 1 didn't look as if you had calculated this to the end. The last intersection of your two lines in the (x,y) plane appears to be missing.
So is it true that we can have solutions in three variable equations that are points or lines, depending on the orientation of the planes?
Not sure I understand you correctly. You can have points or lines for different examples, but not for the same set of equations. But in general, there is also no solution at all possible, an entire plane, or for the equation ##0=0## even the entire space. It depends on the set of equations, because they determine the orientations.

You started with three planes ##A,B,C\,##.
Then you calculated the intersection lines ##b=A \cap B## and ##c=A\cap C\,.##
Now you have two lines in space. However, you are still on plane ##A## as ##b## and ##c## are in ##A##. So the next intersection will take place within plane ##A##. And two lines in a plane can either be parallel, coincident or intersect in exactly one point, as in your case.

In general, two lines in space don't need to intersect even if they aren't equal or parallel. They still can be skew in space. An option they don't have on a plane.
 
  • Like
Likes   Reactions: opus
  • #14
fresh_42 said:
However, there is a loophole. If you consider equations which only have coefficients in, say ##\{\,0,1\,\}##, and have the rule ##1+1=0##, then there will be only finitely many points, as a line consists of only finitely many points. So all depends on the coefficients. At school and in most applications it are the real numbers, but it could be ##\{\,0,1\,\}## or similar fields, too.

I was actually thinking of this, with scalars in ##\mathbb F_2## when I wrote my response.

The algebra over (vanilla prime) finite fields is straightforward though the geometry is kind of peculiar. I'm happy to write a more detailed response if @opus still has questions here. My general view is that opus has good, valid questions and needs to use them as a motivation to study higher maths.

It turns out that there are a lot of higher maths textbooks (e.g. Pinter in abstract algebra) that have minimal pre-reqs and could be beneficial. Maybe worth some time for OP.

If OP knows Python, maybe Coding the Matrix is worthwhile -- it treats linear algebra with scalars in ##\mathbb C##, ##\mathbb R## and ##\mathbb F_2##, with an eye toward applications in python. A bizarrely large number of linear algebra texts only consider scalars in in ##\mathbb R## and ##\mathbb C##. As it turns out, finite fields are interesting in theory and in practice.
 
  • Like
Likes   Reactions: opus
  • #15
In physics, you might even have too many independent equations, with slightly different solutions depending on which set of equations you solve. So, what solution is the "correct" one?

One common solution to that dilemma is to search for a solution where the sum of the squares of the differences from the various solutions is at a minimum...
 
  • Like
Likes   Reactions: opus
  • #16
opus said:
Now here is my confusion- if the solutions to linear systems of equations are limited to these three options, and linear systems of equations can have more than two equations, how is it possible that we can't have something like 3 solutions?

If you have a system of equations E1 (linear or otherwise) with solution set S1 and create a new system of equations E2 by adding an equation to E1, you cannot increase the number of solutions because the solutions S2 to E2 must also satisfy the equations S1. Hence S2 is a subset of S1.
 
  • Like
Likes   Reactions: opus
  • #17
opus,
my comment is way too simple, since my linear algebra knowledge is just not very well developed; but in real life, sometimes you have a practical situation which might be described using maybe 3 or 4 equations in 3 or 4 variables - for a linear system. You might usually expect and have a practical solution with ONE combination of variables' values; and you would expect the intersection of the lines equations to be on ONE point. To solve, you would use whatever skills you have or know.(later was edited)
 
Last edited:
  • Like
Likes   Reactions: opus
  • #18
fresh_42 said:
I can see from the first picture that you started out with the equations of three planes in space. Then you intersected the first with the second and the first with the third. Both gave you the two intersection lines of planes. And both lines are neither equal nor parallel, so they intersect in the now (x,y) plane. From there I cannot read your light blue writings anymore.

So here, I used the elimination/addition method to eliminate the variable ##z##. The main purpose of showing that, was to clarify what was meant by "good equations". I did a lackluster job of framing my question correctly.
So when I intersected ##E_1## with ##E_2## and ##E_1## with ##E_3##, I ended up with two non-equal and non-parallel lines as you stated. Now I have these two equations, yet the original system of equations had 3. These two equations, the ones labeled in green and pink, are they what are considered the "good equations"? And what is meant by the term "good equations"?

fresh_42 said:
Not sure I understand you correctly. You can have points or lines for different examples, but not for the same set of equations. But in general, there is also no solution at all possible, an entire plane, or for the equation 0=00=0 even the entire space. It depends on the set of equations, because they determine the orientations.
Yes so what I meant was that in systems of equations with three variables, it is possible to have solutions that intersect at either a point in space, a single line, not intersect simultaneously at all, or some or all being superimposed on one another. These would be in different systems of course, not multiple different solutions in the same system.

fresh_42 said:
You started with three planes A,B,CA,B,C\,.
Then you calculated the intersection lines b=A∩Bb=A \cap B and c=A∩C.c=A\cap C\,.
Now you have two lines in space. However, you are still on plane AA as bb and cc are in AA. So the next intersection will take place within plane AA. And two lines in a plane can either be parallel, coincident or intersect in exactly one point, as in your case.

So let me see if I understand. Because I know how to do that calculation to get the solution for the most part, but that means squat and I want to know what I'm doing to what.

(i) So I started off with a system of equations in three variables. In other words, I am given three planes ##A,B,C## and these are represented in three-dimensional space.

(ii) By using the elimination/addition method (or substitution method would work as well), what I'm doing is intersecting two planes to get a line. In this case, I intersected Plane ##A## with Plane ##B## to get line ##b##, and I intersected Plane ##A## with Plane ##C## to get line ##c##.
Now I have two equations in two variables that represent two lines in two-dimensional space. These lines are neither equal nor parallel, so they intersect at some point ##(x,y)##.

(iii) By using the elimination/addition method once more, I can drop these two variable equations down to a single variable equation to solve for one coordinate of the point of the lines' intersection. I can then plug this value, back into one of the two variable equations to solve for the other coordinate to which the two lines intersect.

(iv) In this case, I now have the value of ##x## and the value of ##y##. Now I can plug both of these values into one of the original three variable equations in the given problem to find the third variable ##z##.

(iv) I now have ##(x,y,z)##, and in this case, this represents a point in 3-dimensional space to which the three given planes intersect simultaneously.

Now going back to step (ii), we found lines ##b## and ##c##, but what about line ##a##? Where's that at?
 
  • #19
opus said:
And what is meant by the term "good equations"?
I have no idea. There are several ways to solve such a system. I like the substitution method. Every equation sets a constraint on one variable, such that at the end all three are determined (or not, if there are redundancies). So I know the three methods you have mentioned, and one which uses matrices. But I never have heard of "good equations". The difficulty with these addition- and substitution methods is, that you could run in circles and using implicitly the same equation again, which would lead to false results. So I can only guess, that by good equations are those meant, which aren't combinations of the others. E.g. if we had ##x+y=1## and ##2x+2y=2## we would have only one which counts., not two. And this example can be made less obvious if we have more equations, but still dependent. I wouldn't spend much time on a term which you will never need again, as the correct terms are linear dependence, resp. independence.
opus said:
Now going back to step (ii), we found lines ##b## and ##c##, but what about line ##a##? Where's that at?
Your resume has been correct. Line ##a## would be the intersection of the second and the third equation (plane). You can calculate it if you like. It would be a test calculation, since ##(-2,3,7)## better is a point on this line. But it isn't necessary, because you already used the entire information as you calculated ##(A\cap B)\cap (A\cap C) = A \cap B \cap C## so ##B\cap C## is no new information.
 
  • Like
Likes   Reactions: opus
  • #20
Ok so the reason it is not necessary to find the third line, ##a##, is because I now have two out of the three variables which can then just be plugged into one of the three given three-variable equations to find the remaining variable?
 
  • #21
opus said:
Ok so the reason it is not necessary to find the third line, ##a##, is because I now have two out of the three variables which can then just be plugged into one of the three given three-variable equations to find the remaining variable?
Yep. As these three equations and the result are small numbers, it might be worth to check whether the equations hold. Thus you can detect mistakes which can always occur.
 
  • Like
Likes   Reactions: opus
  • #22
Very cool stuff! Thank you all for the help.
 
  • #23
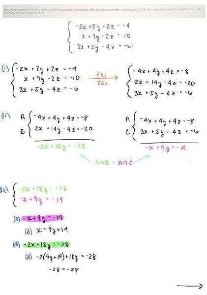
Okay another question which is pretty similar to the last, again this is accompanied by a picture of my work (don't mind if you can't see the light blue. that color is just side notes for myself).

Now in this system of equations, I am given Plane ##A##, Plane ##B##, and Plane ##C##.

In using the process of elimination, I find that in intersecting ##A## and ##B## as well as ##A## and ##C##, they are the same line.

Now, since ##A \cap B = A \cap C##, I am inclined to say that the system is dependent. That is, all planes intersect in a line.
However, so far, we haven't taken into account the relationship between Plane ##B## and Plane ##C##, and if their line of intersection is not equal to that of ##A \cap B = A \cap C##, then the system is not dependent.

So my question is, at what point is it definitive that the system is dependent or not? In other words, at the completion of my step (ii), can I guarantee that the system is dependent? Or do I need to proceed further?
 

Attachments

  • 4ECCC6DC-0E10-4A0A-A03A-B8088B283CF8.jpeg
    4ECCC6DC-0E10-4A0A-A03A-B8088B283CF8.jpeg
    21.4 KB · Views: 482
  • #24
opus said:
And what is meant by the term "good equations"?

I introduced this term as a watered down way of saying linearly independent equations / rows in a matrix used to model this set of equations. Maybe not helpful -- if so, apologies.
 
  • Like
Likes   Reactions: opus
  • #25
opus said:
Okay another question which is pretty similar to the last, again this is accompanied by a picture of my work (don't mind if you can't see the light blue. that color is just side notes for myself).

Now in this system of equations, I am given Plane ##A##, Plane ##B##, and Plane ##C##.

In using the process of elimination, I find that in intersecting ##A## and ##B## as well as ##A## and ##C##, they are the same line.

Now, since ##A \cap B = A \cap C##, I am inclined to say that the system is dependent. That is, all planes intersect in a line.
Yes. ##(*)##
However, so far, we haven't taken into account the relationship between Plane ##B## and Plane ##C##, and if their line of intersection is not equal to that of ##A \cap B = A \cap C##, then the system is not dependent.
What you have found is, that after some manipulations, which all took place in the solution space, two planes are equal. So the equations changed, but not the solution. Now we are left with only two planes, and they are neither parallel nor coincide, so they must intersect in a line.
So my question is, at what point is it definitive that the system is dependent or not?
##(*)##
In other words, at the completion of my step (ii), can I guarantee that the system is dependent?
Yes.
Or do I need to proceed further?
That depends on your goal. The linear dependence doesn't mean you won't have to calculate the solution. We already now that it is a line in three dimensional space. What is its equation? I would expect something like
$$
\begin{bmatrix}x\\y\\z\end{bmatrix} = \begin{bmatrix}m_1\\1\\m_3\end{bmatrix} \cdot y + \begin{bmatrix}b_1\\0\\b_3\end{bmatrix}
$$
but this isn't unique. You don't have to choose ##y## as the parameter which runs on the line. I just found it convenient in the given example.
 
  • #26
StoneTemplePython said:
I introduced this term as a watered down way of saying linearly independent equations / rows in a matrix used to model this set of equations. Maybe not helpful -- if so, apologies.
Ok no that helps tie things into a bigger picture thank you. But why are linearly independent equations "good"? Is it because they give set values ##(x,y,z)## that are useful in solving problems, whereas linear dependence gives infinite solutions so they aren't so useful in a sense?
 
  • #27
opus said:
Ok no that helps tie things into a bigger picture thank you.
The point is: By these row manipulations, if they become longer, it might happen that you calculate something with the same rows involved and think it is a different one. Then you can end up with two equal equations like in the example, but they are actually the same. So one has to keep track of the manipulations in order not to get a wrong result.
 
  • #28
fresh_42 said:
What you have found is, that after some manipulations, which all took place in the solution space, two planes are equal. So the equations changed, but not the solution. Now we are left with only two planes, and they are neither parallel nor coincide, so they must intersect in a line.

What do you mean by the "two planes are equal"? We intersected ##A## and ##B## which gave a line that contained the solutions between those two planes. And we intersected ##A## and ##C## which gave a line that contained the solutions between those two planes. Now both of these lines of intersection are equal, but in ##A \cap B=A \cap C##, which planes are equal? I think I'm misunderstanding what you're saying.
fresh_42 said:
That depends on your goal. The linear dependence doesn't mean you won't have to calculate the solution. We already now that it is a line in three dimensional space. What is its equation?

Yes, in moving forward with the problem, I found that the solution is ##\left\{\left(\frac{9}{8}z+\frac{1}{2},\frac{1}{8}z-\frac{3}{2},z\right)|z∈ℝ\right\}##
 
  • #29
As said I have a different parameterization of the line, but it looks to be the same line. Mine is ##(x,y,z)=(9y, y, 8y)+(14,0,12)##.
opus said:
What do you mean by the "two planes are equal"? We intersected ##A## and ##B## which gave a line that contained the solutions between those two planes.
I meant (I)' = (I) + 2(II) = - (III) + 3(II) = (III)' so with the help of equation (II), the first and the third became equal. This way it's just a transformation of plane equations, because no substitution has taken place so far.
 
Last edited:
  • #30
opus said:
Ok no that helps tie things into a bigger picture thank you. But why are linearly independent equations "good"? Is it because they give set values ##(x,y,z)## that are useful in solving problems, whereas linear dependence gives infinite solutions so they aren't so useful in a sense?

Linearly dependent equations are a bit like carrying around 2 or 3 wallets in your pocket -- they take up space but don't do anything more than what you could do with the 1 "good" wallet.

(Ok the analogy is imperfect -- linearly dependent equations don't have resale value and cannot be used as decoys if you get robbed.)
 

Similar threads

  • · Replies 5 ·
Replies
5
Views
2K
  • · Replies 10 ·
Replies
10
Views
3K
  • · Replies 5 ·
Replies
5
Views
2K
  • · Replies 3 ·
Replies
3
Views
2K
  • · Replies 1 ·
Replies
1
Views
2K
  • · Replies 19 ·
Replies
19
Views
4K
  • · Replies 4 ·
Replies
4
Views
4K
  • · Replies 6 ·
Replies
6
Views
2K
  • · Replies 4 ·
Replies
4
Views
1K
  • · Replies 2 ·
Replies
2
Views
2K