Can the Commutator Rule be Applied to Non-operator Functions in the Hamiltonian?

  • Thread starter Thread starter FatPhysicsBoy
  • Start date Start date
  • Tags Tags
    Commutator
Click For Summary

Homework Help Overview

The discussion revolves around the application of the commutator rule in quantum mechanics, specifically concerning the momentum operator \(\hat{p_{x}}\) and the Hamiltonian \(\hat{H}\). Participants are exploring whether the commutator can be expanded when the Hamiltonian includes a potential term \(V(x)\) that is not an operator in the traditional sense.

Discussion Character

  • Conceptual clarification, Assumption checking, Mathematical reasoning

Approaches and Questions Raised

  • Participants are questioning the validity of applying the commutator rule to the Hamiltonian when it includes non-operator functions. There are discussions about interpreting potential terms and whether they can be treated as operators. Some participants suggest that the potential term should be considered as acting on functions, while others explore the implications of commuting operators with constants.

Discussion Status

The discussion is active, with participants providing differing viewpoints on the treatment of the potential term in the Hamiltonian. Some guidance has been offered regarding the interpretation of operators and constants, but there is no explicit consensus on the correct approach to the problem.

Contextual Notes

Participants are working under the constraints of a homework assignment and are referencing specific relations from quantum mechanics, such as the time evolution of expectation values. There is an ongoing examination of the assumptions made about operators and their commutation properties.

FatPhysicsBoy
Messages
62
Reaction score
0

Homework Statement



So we know that for two operators [itex]\hat{A}[/itex] and [itex]\hat{B} + \hat{C}[/itex] we have the following rule for the commutator of the two: [itex][\hat{A},\hat{B} + \hat{C}] = [\hat{A},\hat{B}] + [\hat{A},\hat{C}][/itex]

However, if I'm commuting [itex][\hat{p_{x}}, \hat{H}][/itex] where [itex]\hat{H}[/itex] is the Hamiltonian and [itex]\hat{p_{x}}[/itex] is the momentum operator, can I use this operator rule to "expand" the commutator [itex][\hat{p_{x}}, \hat{H}][/itex] in the same way as [itex]\hat{A}[/itex] and [itex]\hat{B} + \hat{C}[/itex] even though [itex]V(x)[/itex] in the Hamiltonian is not an operator?

If this can be done then we can get [itex][\hat{p_{x}}, \hat{H}][/itex] = [itex][\hat{p_{x}}, V(x)][/itex] and expand that commutator instead of messing about with the [itex]\frac{\hat{p^{2}}_{x}}{2m}[/itex] part in the Hamiltonian since [itex][\hat{p_{x}}, \hat{p^{2}}_{x}][/itex] = 0.

Thank You
 
Physics news on Phys.org
FatPhysicsBoy said:

Homework Statement



So we know that for two operators [itex]\hat{A}[/itex] and [itex]\hat{B} + \hat{C}[/itex] we have the following rule for the commutator of the two: [itex][\hat{A},\hat{B} + \hat{C}] = [\hat{A},\hat{B}] + [\hat{A},\hat{C}][/itex]

However, if I'm commuting [itex][\hat{p_{x}}, \hat{H}][/itex] where [itex]\hat{H}[/itex] is the Hamiltonian and [itex]\hat{p_{x}}[/itex] is the momentum operator, can I use this operator rule to "expand" the commutator [itex][\hat{p_{x}}, \hat{H}][/itex] in the same way as [itex]\hat{A}[/itex] and [itex]\hat{B} + \hat{C}[/itex] even though [itex]V(x)[/itex] in the Hamiltonian is not an operator?

If this can be done then we can get [itex][\hat{p_{x}}, \hat{H}][/itex] = [itex][\hat{p_{x}}, V(x)][/itex] and expand that commutator instead of messing about with the [itex]\frac{\hat{p^{2}}_{x}}{2m}[/itex] part in the Hamiltonian since [itex][\hat{p_{x}}, \hat{p^{2}}_{x}][/itex] = 0.

Thank You
Yes, you can. If you see something that looks like the sum of an operator and a number, that number should always be interpreted as "that number times the identity operator". So there's never a situation where the potential term is not an operator. Since the identity operator commutes with everything, the second commutator will be zero too. Edit: Temporary insanity here, corrected by Dick below.
 
Last edited:
FatPhysicsBoy said:

Homework Statement



So we know that for two operators [itex]\hat{A}[/itex] and [itex]\hat{B} + \hat{C}[/itex] we have the following rule for the commutator of the two: [itex][\hat{A},\hat{B} + \hat{C}] = [\hat{A},\hat{B}] + [\hat{A},\hat{C}][/itex]

However, if I'm commuting [itex][\hat{p_{x}}, \hat{H}][/itex] where [itex]\hat{H}[/itex] is the Hamiltonian and [itex]\hat{p_{x}}[/itex] is the momentum operator, can I use this operator rule to "expand" the commutator [itex][\hat{p_{x}}, \hat{H}][/itex] in the same way as [itex]\hat{A}[/itex] and [itex]\hat{B} + \hat{C}[/itex] even though [itex]V(x)[/itex] in the Hamiltonian is not an operator?

If this can be done then we can get [itex][\hat{p_{x}}, \hat{H}][/itex] = [itex][\hat{p_{x}}, V(x)][/itex] and expand that commutator instead of messing about with the [itex]\frac{\hat{p^{2}}_{x}}{2m}[/itex] part in the Hamiltonian since [itex][\hat{p_{x}}, \hat{p^{2}}_{x}][/itex] = 0.

Thank You

V(x) is an operator just like x is an operator. But there is nothing wrong with what you are doing. ##p_x## commutes with the ##p{_x}^2## so you only need to worry about the commutator with the potential.
 
Fredrik said:
Yes, you can. If you see something that looks like the sum of an operator and a number, that number should always be interpreted as "that number times the identity operator". So there's never a situation where the potential term is not an operator. Since the identity operator commutes with everything, the second commutator will be zero too.

##p_x## may commute with the identity, but it certainly doesn't commute with V(x). 'x' isn't a number. '2' is a number. There's a difference.
 
Fredrik said:
Yes, you can. If you see something that looks like the sum of an operator and a number, that number should always be interpreted as "that number times the identity operator". So there's never a situation where the potential term is not an operator. Since the identity operator commutes with everything, the second commutator will be zero too.

Thank you so much! :)

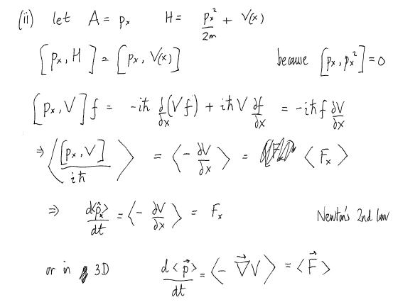
We were given a relation: [itex]\frac{d<\hat{A}>}{dt}=\frac{1}{i\hbar}<[\hat{A},\hat{H}]>[/itex] and to show that Newton's second law of motion is obtained by taking [itex]\hat{A} = \hat{p}_{x}[/itex]

Now, if what you say is the case, how would we go about doing this? I.e, the way I did it was just the long way and the factors with the first part of the Hamiltonian in them came to zero but my lecturer did it the way shown below and I don't understand the third line, why is the commutator suddenly acting on f?

1sl0mo.png
 
Dick said:
##p_x## may commute with the identity, but it certainly doesn't commute with V(x). 'x' isn't a number. '2' is a number. There's a difference.

This makes sense since I got [itex]-i\hbar \frac{\partial{V(x)}}{\partial{x}}[/itex] as the answer for the commutator with the Hamiltonian and not 0.

Edit: Do you have any comment on my post above Dick?
 
FatPhysicsBoy said:
Thank you so much! :)

We were given a relation: [itex]\frac{d<\hat{A}>}{dt}=\frac{1}{i\hbar}<[\hat{A},\hat{H}]>[/itex] and to show that Newton's second law of motion is obtained by taking [itex]\hat{A} = \hat{p}_{x}[/itex]

Now, if what you say is the case, how would we go about doing this? I.e, the way I did it was just the long way and the factors with the first part of the Hamiltonian in them came to zero but my lecturer did it the way shown below and I don't understand the third line, why is the commutator suddenly acting on f?

1sl0mo.png

##[p_x,V]## is an operator. So what it does is it acts on functions. Your lecturer is showing that ##[p_x,V]## acting on a function f is the same as multiplying f by -ihdV/dx. So that's what the operator is. f is a 'test function'.
 
Dick said:
##[p_x,V]## is an operator. So what it does is it acts on functions. Your lecturer is showing that ##[p_x,V]## acting on a function f is the same as multiplying f by -ihdV/dx. So that's what the operator is. f is a 'test function'.

Is it necessary though? I.e. if you didn't have that and just expanded the commutator with (P_x * V) - (V *P_x) wouldn't you then get the same thing without the f's and then the second term would just be d/dx of 0 = 0 and the first term would just be -ihbar dV(x)/dx

So isn't it the same thing? It seems to me like f is intentionally f = f(a != x) so it's treated as a constant or something.

Edit: I.e. I just did this (below), is this then an incorrect way of doing it?

http://i41.tinypic.com/2pzhcld.jpg
 
Last edited:
FatPhysicsBoy said:
Is it necessary though? I.e. if you didn't have that and just expanded the commutator with (P_x * V) - (V *P_x) wouldn't you then get the same thing without the f's and then the second term would just be d/dx of 0 = 0 and the first term would just be -ihbar dV(x)/dx

So isn't it the same thing? It seems to me like f is intentionally f = f(a != x) so it's treated as a constant or something.

Edit: I.e. I just did this (below), is this then an incorrect way of doing it?

http://i41.tinypic.com/2pzhcld.jpg

Yes, it's not really correct. Just taking the d/dx part, you've written [d/dx,V(x)]=d/dx*V-V*d/dx. Any special reason to think that the V*d/dx is zero in some way? I find your lecturer's calculation much more convincing.
 
  • #10
Dick is right. Not sure what I was thinking. I stand by my first comment, that an operator plus a number doesn't really make sense and must therefore be interpreted as the operator plus "the number times the identity operator". But that isn't really relevant here. The momentum operator p is a number times the derivative operator, and because of that, it can't commute with V unless V is a constant function. So that part of my post was wrong. Sorry about that.
 
  • #11
Dick said:
Yes, it's not really correct. Just taking the d/dx part, you've written [d/dx,V(x)]=d/dx*V-V*d/dx. Any special reason to think that the V*d/dx is zero in some way? I find your lecturer's calculation much more convincing.

I don't understand why it's wrong? Is that not how you evaluate a commutator? Just take A acting on B and subtract B acting on A and if they "commute" and = 0 those two terms would be equal in magnitude so you'd get 0?

V*d/dx, operators act on everything to their right, there's nothing there except I guess a 1 so wouldn't it be V*d/dx = V*d/dx(1) which is just 0?

If it's incorrect then I don't understand the purpose of the f because it seems sort of like you're multiplying by 2 and then dividing by 2 later. In fact, one of the questions above was to show that [itex][\hat{p}_{x},\hat{x}]f = -i\hbar f[/itex] for some general function f, and then: Hence, show that: [itex][\hat{p}_{x},\hat{x}] = -i\hbar[/itex], don't you just cancel the f's again? Or is there a subtlety I'm missing and you choose f = 1?

We both expanded the commutator the same to show [itex][\hat{p}_{x},\hat{x}]f = -i\hbar f[/itex] but then the next line in the solutions was just "Hence, and then the same thing without the f's" so I figured they just got cancelled..
 
  • #12
FatPhysicsBoy said:
I don't understand why it's wrong? Is that not how you evaluate a commutator? Just take A acting on B and subtract B acting on A and if they "commute" and = 0 those two terms would be equal in magnitude so you'd get 0?

V*d/dx, operators act on everything to their right, there's nothing there except I guess a 1 so wouldn't it be V*d/dx = V*d/dx(1) which is just 0?

If it's incorrect then I don't understand the purpose of the f because it seems sort of like you're multiplying by 2 and then dividing by 2 later. In fact, one of the questions above was to show that [itex][\hat{p}_{x},\hat{x}]f = -i\hbar f[/itex] for some general function f, and then: Hence, show that: [itex][\hat{p}_{x},\hat{x}] = -i\hbar[/itex], don't you just cancel the f's again? Or is there a subtlety I'm missing and you choose f = 1?

We both expanded the commutator the same to show [itex][\hat{p}_{x},\hat{x}]f = -i\hbar f[/itex] but then the next line in the solutions was just "Hence, and then the same thing without the f's" so I figured they just got cancelled..

You seem to be arguing that if I just write d/dx or ##p_x## then that will be 0 since there is nothing on the right. You often write operators with nothing on the right. You just can't evaluate them until you put something on the right. V*d/dx isn't the zero operator. If you apply it to a function f, you get V*df/dx. That's not zero. If you apply it to g then you get V*dg/dx.
 
  • #13
Dick said:
You seem to be arguing that if I just write d/dx or ##p_x## then that will be 0 since there is nothing on the right. You often write operators with nothing on the right. You just can't evaluate them until you put something on the right. V*d/dx isn't the zero operator. If you apply it to a function f, you get V*df/dx. That's not zero. If you apply it to g then you get V*dg/dx.

Okay I see, so in the third line in my lecturers solution, is f (in this case) being treated as some function that is of some variable other than x?

Is this the approach for all of these types of questions? I can't see any other way you'd be able to pull the f out of the derivative in the first term and also have the second term = 0 unless df/dx = 0
 
  • #14
FatPhysicsBoy said:
Okay I see, so in the third line in my lecturers solution, is f (in this case) being treated as some function that is of some variable other than x?

Is this the approach for all of these types of questions? I can't see any other way you'd be able to pull the f out of the derivative in the first term and also have the second term = 0 unless df/dx = 0

You expand the first term by using the product rule. Then the df/dx in the first term cancels the df/dx in the second term. df/dx doesn't have to be zero. It just cancels from the expression.
 
  • #15
Dick said:
You expand the first term by using the product rule. Then the df/dx in the first term cancels the df/dx in the second term. df/dx doesn't have to be zero. It just cancels from the expression.

Ahhh I see! That is cool! Sorry for all of this by the way but then finally I'm trying to understand what exactly happens to the f in the next line? Does it just get cancelled? Or has something else taken the place of f?
 
  • #16
FatPhysicsBoy said:
Ahhh I see! That is cool! Sorry for all of this by the way but then finally I'm trying to understand what exactly happens to the f in the next line? Does it just get cancelled? Or has something else taken the place of f?

They've shown that for any function f, [p,V]f=(-ihdV/dx)f. Since it doesn't matter what f is, why not just skip writing it and say that the operator [p,V] is equal to the operator -ihdV/dx without having to make a up a function to write after them all of the time?
 
  • #17
Dick said:
They've shown that for any function f, [p,V]f=(-ihdV/dx)f. Since it doesn't matter what f is, why not just skip writing it and say that the operator [p,V] is equal to the operator -ihdV/dx without having to make a up a function to write after them all of the time?

Ah okay, thank you once again and my apologies for being dim! We weren't actually taught much about commutators etc in our Quantum course so I'm sort of using the internet and questions to become more familiar with them!

Thank you very much for your help!
 

Similar threads

  • · Replies 6 ·
Replies
6
Views
3K
  • · Replies 7 ·
Replies
7
Views
1K
  • · Replies 7 ·
Replies
7
Views
5K
Replies
4
Views
2K
  • · Replies 10 ·
Replies
10
Views
3K
Replies
11
Views
2K
  • · Replies 2 ·
Replies
2
Views
2K
  • · Replies 9 ·
Replies
9
Views
2K
  • · Replies 32 ·
2
Replies
32
Views
4K
  • · Replies 1 ·
Replies
1
Views
2K