Classical Mechanics "variable mass" linear motion problem in one dimention.

Click For Summary

Homework Help Overview

The discussion revolves around a classical mechanics problem involving variable mass in linear motion. The scenario describes a truck that starts moving under a constant force while rain fills its back, affecting its mass over time.

Discussion Character

  • Exploratory, Conceptual clarification, Mathematical reasoning

Approaches and Questions Raised

  • Participants discuss the formulation of the problem, including the equations of motion and the implications of variable mass. There are attempts to clarify the correct interpretation of momentum and its relationship to mass change. Some participants question the validity of the equations presented and the assumptions made about the system.

Discussion Status

Several participants have provided feedback on the original poster's equations and reasoning. There is an ongoing exploration of different methods to approach the problem, with some suggesting alternative ways to derive results for speed and distance. While some participants express confidence in their solutions, others are still seeking validation and clarification.

Contextual Notes

Participants note constraints such as the inability to edit previous posts and the need for clarity in the problem statement. The original poster has acknowledged mistakes in their equations and is working to clarify their approach.

cemtu
Messages
99
Reaction score
7
Homework Statement
A truck with empty mass m0 starts to move under a constant force F0 in a rainy weather. Assuming that the rate of change of the mass of the truck starts to move from rest. a) Find the mass m(t) of the truck, b)Find the speed v(t) of the truck, c)find the distance taken x(t) by the truck; all at time t..
Relevant Equations
F=m*dv/dt
P=(dm/dt)*v +m*(dv/dt)
Please help please
 
Physics news on Phys.org
Hello, @cemtu. Welcome to PF!

As a newcomer, please take a look at the Homework Guidelines here. Note in particular item #4.

You can edit your first post so that you can show us how you are thinking about the problem and any work that you have done so far on the problem.

Please proofread your statement of the problem. The second sentence seems to be missing some words.

Also, the second equation in your post cannot be correct. The dimensions on the left and right sides don't match.
 
Last edited:
cemtu said:
P=(dm/dt)*v +m*(dv/dt)
You mean dp/dt=(dm/dt)*v +m*(dv/dt), but that equation should be struck out from all textbooks and course notes. While it is true in an obvious sense, when properly interpreted it turns out not to be that useful. The issue is, what exactly is p the momentum of here? If it is of a rigid body then dm/dt=0.
It is tempting to then write F=dp/dt, but that leads to the impression that somehow applying a force leads to a change in mass!
If the mass of the system is varying then either matter is being added or removed, and it may bring/take momentum with it as it does so.
 
Also, the second equation in your post cannot be correct. The dimensions on the left and right sides don't match.
yes thanks for warning. However the site does not allow me to edit the homework equations.There was also a mistake in the question. I am reposting here:
  • A truck with empty mass m0 starts to move from rest under a constant force F0 in a rainy weather. Rain fills the back of the truck. Assuming that the rate of change of the mass of the truck is a constant α.
a) Find the mass m(t) of the truck,
b)Find the speed v(t) of the truck,
c)find the distance taken x(t) by the truck;
all at time t..

Homework Equations:
F = dP/dt = d(mv)/dt = (dm/dt)*v +m*(dv/dt)
 
Last edited:
cemtu said:
yes thanks for warning. However the site does not allow me to edit the homework equations.There was also a mistake in the question. I am reposting here:
  • A truck with empty mass m0 starts to move from rest under a constant force F0 in a rainy weather. Rain fills the back of the truck. Assuming that the rate of change of the mass of the truck is a constant α.
a) Find the mass m(t) of the truck,
b)Find the speed v(t) of the truck,
c)find the distance taken x(t) by the truck;
all at time t..

Homework Equations:
F = dP/dt = d(mv)/dt = (dm/dt)*v +m*(dv/dt)

How far can you get without any help?
 
PeroK said:
How far can you get without any help?
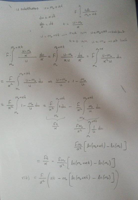
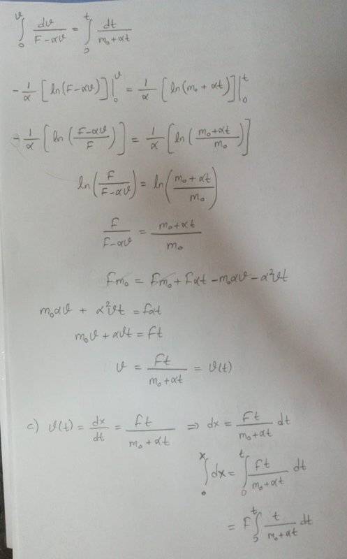
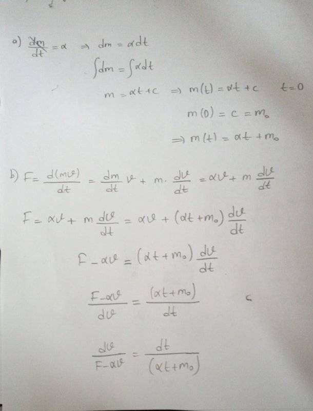
I think I solved it. Can you check please?
 
cemtu said:
I think I solved it. Can you check please?
Post your answers if you want.
 
PeroK said:
Post your answers if you want.
of course thank you Iwas preparing my answer right now:
 

Attachments

  • WhatsApp Image 2020-01-01 at 15.22.37.jpeg
    WhatsApp Image 2020-01-01 at 15.22.37.jpeg
    28.9 KB · Views: 230
  • WhatsApp Image 2020-01-01 at 15.23.31.jpeg
    WhatsApp Image 2020-01-01 at 15.23.31.jpeg
    25.8 KB · Views: 241
  • WhatsApp Image 2020-01-01 at 15.24.27.jpeg
    WhatsApp Image 2020-01-01 at 15.24.27.jpeg
    31.2 KB · Views: 230
  • Like
Likes   Reactions: PeroK
I think I solved the problem can anyone please check it?
 
  • #10
Looks good to me. There was a much quicker way to do part b), by integrating the momentum.

For part c) you could expand the log function using Taylor series and check what you have makes sense. Especially if ##\alpha = 0##.

Note that the log function can be simplified to something of the form ##\ln(1 + \alpha t/m_0)##.

Good work!
 
  • Like
Likes   Reactions: cemtu
  • #11
PeroK said:
Looks good to me. There was a much quicker way to do part b), by integrating the momentum.

For part c) you could expand the log function using Taylor series and check what you have makes sense. Especially if ##\alpha = 0##.

Note that the log function can be simplified to something of the form ##\ln(1 + \alpha t/m_0)##.

Good work!
Thank you so much mister PeroK! now that at least my solution is approved, I can give this solution to my teacher without concern! thank you!
 
  • #12
PeroK said:
There was a much quicker way to do part b), by integrating the momentum.
I think you meant, by integrating the force to get the momentum.
 

Similar threads

  • · Replies 35 ·
2
Replies
35
Views
4K
Replies
6
Views
3K
  • · Replies 6 ·
Replies
6
Views
2K
Replies
3
Views
1K
  • · Replies 12 ·
Replies
12
Views
1K
Replies
9
Views
2K
  • · Replies 27 ·
Replies
27
Views
2K
  • · Replies 5 ·
Replies
5
Views
1K
Replies
25
Views
1K
  • · Replies 10 ·
Replies
10
Views
2K