Completeness of the formal power series and valued fields

Click For Summary
SUMMARY

The discussion centers on the completeness of formal power series in valued fields, specifically addressing the properties of Cauchy sequences in the context of power series in K[[t]]. The participant outlines the relationship between the valuation of a power series, denoted as v(p), and the convergence of Cauchy sequences. They establish that for two power series p_i and p_j to be close in terms of their valuation, their coefficients must stabilize beyond a certain degree, ensuring that the limit of the Cauchy sequence is a power series with constant coefficients for each degree k.

PREREQUISITES
  • Understanding of formal power series, specifically K[[t]]
  • Familiarity with the concept of Cauchy sequences in metric spaces
  • Knowledge of valuation theory and its application in valued fields
  • Basic grasp of convergence criteria for sequences in analysis
NEXT STEPS
  • Study the properties of Cauchy sequences in the context of formal power series
  • Explore valuation theory in greater depth, focusing on its implications for completeness
  • Investigate the relationship between power series and their coefficients in K[[t]]
  • Learn about the implications of completeness in various types of fields, including p-adic fields
USEFUL FOR

Mathematicians, particularly those specializing in algebra, number theory, or functional analysis, as well as students studying formal power series and valued fields.

aalma
Messages
46
Reaction score
1
TL;DR
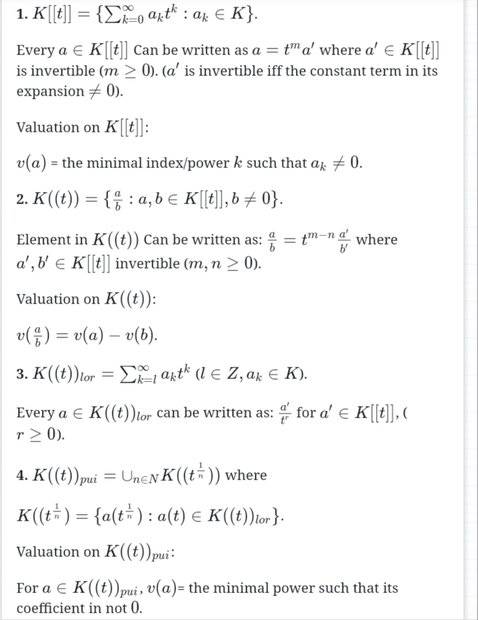
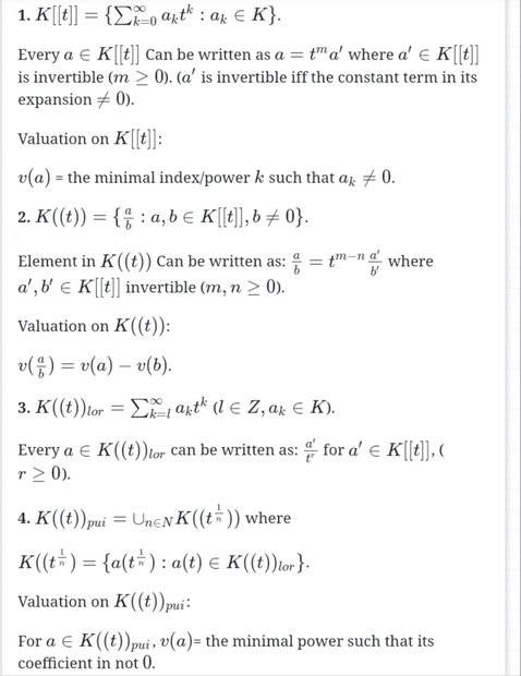
Trying to understand the completeness of K[[x]] and how to show that every cauchy sequence in it has a limit in K[[x]].
I had difficulty showing this no matter what I tried in (a) I am not getting it. Here for p(t) in K[[t]] : ## |p|=e^{-v(p)} ## where v(p) is the minimal index with a non-zero coiefficient.
I said that p_i is a cauchy sequence so, for every epsilon>0 there exists a natural N such that for all i,j>N we have
## |p_i(t)-p_j(t)|<epsilon ##, which is equivalent to that
## v(p_i(t)-p_j(t))>e^{-epsilon} ##.
But could not see how it helps here!.

Any clarifications would be great
 

Attachments

  • 20230125_193801.jpg
    20230125_193801.jpg
    44.9 KB · Views: 172
  • 20230125_194140.jpg
    20230125_194140.jpg
    34.7 KB · Views: 164
Last edited:
Physics news on Phys.org
In order for ##||p_i-p_j||## to be smaller than ##\varepsilon=e^{-n}## (for large ##i,j##) it must be the case that the first nonzero term of ##p_i-p_j## has degree larger than ##n##, i.e. the coefficients of ##1,t,...,t^n## are the same for ##p_i## and ##p_j.## So, for any fixed degree ##k##, the coefficient of ##t^k## in your sequence is eventually constant and the limit of your Cauchy sequence is just the power series whose coefficient of ##t^k## is this element of ##K##.
 
  • Like
Likes   Reactions: aalma
Thanks!
Here is what I did in a.
can you give direction for b? I think it would be similar to a but could not see how..
20230129_222740.jpg
 

Similar threads

  • · Replies 3 ·
Replies
3
Views
3K
  • · Replies 1 ·
Replies
1
Views
3K
  • · Replies 5 ·
Replies
5
Views
2K
  • · Replies 1 ·
Replies
1
Views
3K
  • · Replies 1 ·
Replies
1
Views
2K
  • · Replies 7 ·
Replies
7
Views
3K
  • · Replies 3 ·
Replies
3
Views
2K
  • · Replies 28 ·
Replies
28
Views
3K
  • · Replies 4 ·
Replies
4
Views
2K
  • · Replies 4 ·
Replies
4
Views
2K