Covariant form of Maxwell's (inhomogeneous) equations (in GR)

Click For Summary

Discussion Overview

The discussion centers on the covariant formulation of Maxwell's equations in the context of general relativity, specifically addressing the transition from flat spacetime to curved spacetime. Participants explore the derivation of both the homogeneous and inhomogeneous equations, questioning the reasoning behind the covariant form of the inhomogeneous equations compared to the more rigorous derivation of the homogeneous equations.

Discussion Character

  • Technical explanation
  • Debate/contested
  • Conceptual clarification

Main Points Raised

  • Some participants express confusion about why the covariant form of Maxwell's inhomogeneous equations is often postulated without a rigorous derivation, unlike the homogeneous equations.
  • Others argue that the covariant form of the homogeneous equations can be derived using the definition of covariant derivatives, with the cancellation of Christoffel symbols simplifying the process.
  • A participant mentions that Dirac's approach to the covariant formulation of the equations does not involve imposing the change from partial to covariant derivatives, but rather derives it directly.
  • One participant attempts to derive the inhomogeneous equations but struggles with the transition to the covariant form and its relation to the source term, ##4\pi J^\mu##.
  • Another participant references Dirac's assertion that physical laws must be expressed as tensor equations, implying that the covariant derivative is necessary for consistency across coordinate systems.
  • Discussion includes references to the action principle in general relativity as a means to derive the covariant form of Maxwell's equations from the Lagrangian action of matter coupled with electromagnetic fields.
  • Some participants refer to MTW (Misner, Thorne, and Wheeler) for insights on the subtleties of the comma to semicolon rule and its physical basis, particularly in relation to the equivalence principle.
  • Specific sections in MTW are cited for further reading on the topic, particularly regarding electrodynamics.

Areas of Agreement / Disagreement

Participants do not reach a consensus on the reasoning behind the covariant form of the inhomogeneous equations, with multiple competing views and ongoing debate regarding the derivation and implications of the equations in general relativity.

Contextual Notes

Some limitations in the discussion include the dependence on definitions of covariant derivatives, the subtleties of the comma to semicolon rule, and unresolved mathematical steps in the derivation of the inhomogeneous equations.

Kostik
Messages
274
Reaction score
33
TL;DR
We *prove* the covariant form of Maxwell's homogeneous equations, $$F_{\mu\nu;\sigma} + F_{\nu\sigma;\mu} + F_{\sigma\mu;\nu} = 0$$ but simply *postulate* the covariant form of the inhomogeneous equations, $${F^{\mu\nu}}_{;\nu} = 4\pi J^\mu \, .$$
Background: In flat spacetime (special relativity), Maxwell's homogeneous equations $$\text{curl} \textbf{ E}=-\frac{d\textbf{B}}{dt} \qquad\qquad \text{div} \textbf{ B} = 0$$ can be written in the single equation
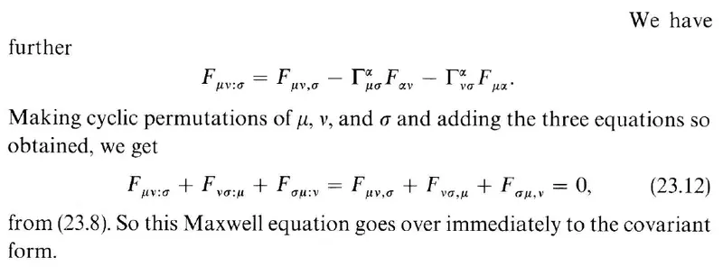
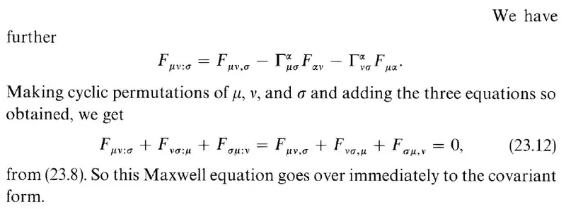
$$F_{\mu\nu,\sigma} + F_{\nu\sigma,\mu} + F_{\sigma\mu,\nu} = 0 \qquad\qquad (*)$$ To pass to the case of curved spacetime (general relativity), we write this in covariant form as follows. First, recall the electromagnetic field tensor is defined in terms of the electromagnetic vector potential: $$F_{\mu\nu} = A_{\mu,\nu} - A_{\nu,\mu}$$ where ##A^\mu = (\phi, \textbf{A})##, where ##\phi## is the electric potential and ##\textbf{A}## is the magnetic vector potential. Since "covariant curl equals ordinary curl", we see immediately that $$F_{\mu\nu} =A_{\mu,\nu} - A_{\nu,\mu}= A_{\mu;\nu} - A_{\nu;\mu} \, .$$ Now, we have $$F_{\mu\nu;\sigma} = F_{\mu\nu,\sigma} - \Gamma^\alpha_{\mu\sigma}F_{\alpha\nu} - \Gamma^\alpha_{\nu\sigma}F_{\mu\alpha} \, .$$ Making cyclic permutations of ##\mu, \nu, \sigma## and adding the equations, we get $$F_{\mu\nu;\sigma} + F_{\nu\sigma;\mu} + F_{\sigma\mu;\nu} = F_{\mu\nu,\sigma} + F_{\nu\sigma,\mu} + F_{\sigma\mu,\nu} = 0 \, .$$ Thus, we arrive at the covariant form of Maxwell's homogeneous equations: $$F_{\mu\nu;\sigma} + F_{\nu\sigma;\mu} + F_{\sigma\mu;\nu} = 0 \, .$$ Now, I want to understand how we obtain the covariant form of Maxwell's inhomogeneous equations. Again, in flat spacetime, the inhomogeneous equations $$\text{div} \textbf{ E} = 4\pi\rho \qquad\qquad \text{curl} \textbf{ B}=-\frac{d\textbf{E}}{dt} + 4\pi\textbf{J}$$ can be written in the single equation $${F^{\mu\nu}}_{,\nu} = 4\pi J^\mu \qquad\qquad(**)$$ where ##J^\mu = (\rho, \textbf{J})##.

##\qquad## What I am finding in the textbook literature is generally a hand-wavy statement that "In general relativity, we must replace ##(**)## with $${F^{\mu\nu}}_{;\nu} = 4\pi J^\mu \, .$$ Here's where I get a bit confused. In the case of the homogenous equations, we did not say "In general relativity, we must replace ##(*)## with $$F_{\mu\nu;\sigma} + F_{\nu\sigma;\mu} + F_{\sigma\mu;\nu} = 0 \, .$$ On the contrary, we did a fair amount of work to prove it. So why do we just "postulate" the covariant form of Maxwell's inhomogeneous equations?
 
Last edited:
Physics news on Phys.org
Kostik said:
Here's where I get a bit confused. In the case of the homogenous equations, we did not say "In general relativity, we must replace ##(*)## with $$F_{\mu\nu;\sigma} + F_{\nu\sigma;\mu} + F_{\sigma\mu;\nu} = 0 \, .$$ On the contrary, we did a fair amount of work to prove it. So why do we just "postulate" the covariant form of Maxwell's inhomogeneous equations?
It's perfectly fine to impose the ##\partial\rightarrow\nabla## rule on the cyclic equation ##F_{\mu\nu,\sigma}+F_{\nu\sigma,\mu}+F_{\sigma\mu,\nu} = 0## to get the generally-covariant version. That's exactly what Dirac does in his General Theory of Relativity:
1750277733149.webp

It's just that the Christoffel connections nicely cancel-out of the covariant equation, so the flat-space equation is already generally-covariant.
 
renormalize said:
It's perfectly fine to impose the ##\partial\rightarrow\nabla## rule on the cyclic equation ##F_{\mu\nu,\sigma}+F_{\nu\sigma,\mu}+F_{\sigma\mu,\nu} = 0## to get the generally-covariant version. That's exactly what Dirac does in his General Theory of Relativity:
View attachment 362259
It's just that the Christoffel connections nicely cancel-out of the covariant equation, so the flat-space equation is already generally-covariant.
Actually, Dirac does not "impose" the change ##\partial\rightarrow\nabla##; in fact, my derivation of the covariant statement of the homogeneous Maxwell equations came straight out of Dirac. Dirac grinds out the covariant form using the definition of covariant derivatives, and, as you say, all the Christoffel symbols happily cancel out. Thus, he obtains the covariant form with no "imposing" or "postulating" ... it is rigorously derived.

Why can't he do the same thing for the inhomogeneous Maxwell equations? See his Eq. (23.13): "This is not a valid equation in general relativity and must be replaced by the covariant equation..."
 
When I try to "follow my nose", I get: $${F^{\mu\nu}}_{;\nu}={F^{\mu\nu}}_{,\nu} + \Gamma^\mu_{\alpha\nu}F^{\alpha\nu} + \Gamma^\nu_{\alpha\nu}F^{\mu\alpha} = {F^{\mu\nu}}_{,\nu} + √^{-1}√_{,\alpha}F^{\mu\alpha}$$ which gives $${F^{\mu\nu}}_{;\nu}√ = {F^{\mu\nu}}_{,\nu}√ + {F^{\mu\nu}}√_{,\nu}$$ hence $${F^{\mu\nu}}_{;\nu} = √^{-1} ({F^{\mu\nu}}√ )_{,\nu}$$ and how do I get from that to ##4\pi J^\mu##?
 
Last edited:
Dirac seems to think the ##\partial \rightarrow \nabla## rule is self-evident. He says in chapter 10 (p. 19), “The laws of physics must be valid in all systems of coordinates. They must thus be expressible as tensor equations. Whenever they involve the derivative of a field quantity, it must be a covariant derivative. The field equations of physics must all be rewritten with the ordinary derivatives replaced by covariant derivatives.”
 
Dirac was a field theorist, and as far as I remember, his 75-page GR brochure is an advert for the action principle. So all you need to do is apply the action principle to the Lagrangian action of matter coupled with electromagnetic fields in curved spacetime. Then the covariant derivative generalization of Maxwell's equations is a consequence, i.e. they are Euler-Lagrange equations for the aforementionend action.
 
MTW has discussion of the subtleties and physical basis of the comma to semicolon rule, including cases where it fails. Ultimately, you have to rely on physical arguments from the equivalence principle in a local inertial frame.
 
  • Like
Likes   Reactions: PeterDonis and dextercioby
PAllen said:
MTW has discussion of the subtleties and physical basis of the comma to semicolon rule, including cases where it fails. Ultimately, you have to rely on physical arguments from the equivalence principle in a local inertial frame.
Could you kindly give a reference within MTW?
 
Kostik said:
Could you kindly give a reference within MTW?
Sections 16.2 and 16.3. The latter section and the accompanying Box 16.1 specifically discuss the case of electrodynamics.
 
  • Like
Likes   Reactions: Nugatory and dextercioby
  • #10
Kostik said:
Could you kindly give a reference within MTW?
The main discussion is in and around box 16.1, p. 390 of my edition.
 
  • Like
Likes   Reactions: Kostik and Nugatory

Similar threads

  • · Replies 4 ·
Replies
4
Views
2K
  • · Replies 1 ·
Replies
1
Views
962
  • · Replies 8 ·
Replies
8
Views
2K
  • · Replies 7 ·
Replies
7
Views
1K
  • · Replies 30 ·
2
Replies
30
Views
3K
  • · Replies 7 ·
Replies
7
Views
2K
  • · Replies 4 ·
Replies
4
Views
1K
  • · Replies 50 ·
2
Replies
50
Views
4K
  • · Replies 8 ·
Replies
8
Views
2K
  • · Replies 76 ·
3
Replies
76
Views
4K