Derivation of equations of stress tensor transformation

  • Context: Undergrad 
  • Thread starter Thread starter Mike_bb
  • Start date Start date
Click For Summary
SUMMARY

The discussion focuses on the derivation of equations for the 2D transformation of the stress tensor, specifically relating to a plane ABCD under rotation. The user has derived equations connecting the stress tensor components for two cases, where only the plane rotates while the coordinate system remains fixed. The primary goal is to establish a clear expression that links the Sigma1 tensor to the Sigma2 tensor. The user seeks validation of their equations and simpler expressions for the transformation process.

PREREQUISITES
  • Understanding of stress tensor components in 2D mechanics
  • Familiarity with tensor transformation equations
  • Knowledge of coordinate systems in mechanics
  • Basic principles of rotational transformations in physics
NEXT STEPS
  • Research "2D stress tensor transformation equations" for detailed methodologies
  • Study "Mohr's Circle" for graphical representation of stress transformations
  • Explore "Tensor calculus" for advanced manipulation of tensor equations
  • Investigate "Finite Element Analysis (FEA)" for practical applications of stress tensor transformations
USEFUL FOR

Mechanical engineers, civil engineers, and students studying continuum mechanics who are involved in stress analysis and tensor transformations.

Mike_bb
Messages
209
Reaction score
20
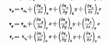
Hello !

I derived equations of stress tensor 2D transformation.
Some details: I have plane ABCD in two cases (see top on the pic) and I know tensor components for case 1 only. Only plane ABCD rotate in two cases (top of the picture) but not coordinate system. Coordinate system rotates only on the bottom of picture.
I want to obtain expression that connects tensor for case 1 and tensor for case 2.

My attempt:

1.webp


Are these equations correct? Is there more easier expression for stress tensor 2D transformation for my case?



Thanks.
 
Last edited:
Physics news on Phys.org
2.webp


What does expression exist for this case? If we know only Sigma1 tensor then how to find Sigma2 tensor?
 
Solved:

2.webp
 

Similar threads

  • · Replies 1 ·
Replies
1
Views
2K
  • · Replies 4 ·
Replies
4
Views
2K
  • · Replies 8 ·
Replies
8
Views
2K
  • · Replies 1 ·
Replies
1
Views
1K
  • · Replies 11 ·
Replies
11
Views
2K
  • · Replies 8 ·
Replies
8
Views
3K
  • · Replies 6 ·
Replies
6
Views
1K
  • · Replies 6 ·
Replies
6
Views
2K
  • · Replies 22 ·
Replies
22
Views
4K
  • · Replies 10 ·
Replies
10
Views
2K